题目内容
如图所示,一名消防队员在模拟演习训练中,沿着长为12m的竖立在地面上的钢管往下滑.已知这名消防队员的质量为60kg,他从钢管顶端由静止开始先匀加速再匀减速下滑,滑到地面时速度恰好为零.如果他加速时的加速度大小是减速时的2倍,下滑的总时间为3s,g取10m/s2,那么该消防队员( )A.下滑过程中的最大速度为8 m/s
B.加速与减速过程的时间之比为1:3
C.加速与减速过程中所受摩擦力大小之比为1:3
D.加速与减速过程的位移之比为1:4
【答案】分析:结合匀变速直线运动速度时间公式和速度位移公式求出下滑过程中的最大速度大小,结合速度时间公式求出加速和减速过程中的时间之比,通过速度位移公式求出加速和减速的位移之比.根据牛顿第二定律求出加速和减速过程中的摩擦力之比.
解答:解:A、设下滑过程中的最大速度为v,有
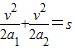
,
,又a1=2a2.
联立解得v=8m/s,
.故A正确.
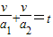
B、根据速度时间公式v=at得,则加速与减速过程中的时间之比为1:2.故B错误.
C、根据牛顿第二定律得,mg-f1=ma1,f2-mg=ma2
解得f1=mg-ma1=2m,f2=mg+ma2=14m,则加速与减速过程中所受摩擦力的大小之比为1:7.故C错误.
D、根据匀变速直线运动的速度位移公式得,v2=2ax,知加速和减速过程中的位移大小之比为1:2.故D错误.
故选A.
点评:本题考查牛顿第二定律和运动学公式的综合运用,知道加速度是联系力学和运动学的桥梁,该题运用图象会更简答.
解答:解:A、设下滑过程中的最大速度为v,有
联立解得v=8m/s,
B、根据速度时间公式v=at得,则加速与减速过程中的时间之比为1:2.故B错误.
C、根据牛顿第二定律得,mg-f1=ma1,f2-mg=ma2
解得f1=mg-ma1=2m,f2=mg+ma2=14m,则加速与减速过程中所受摩擦力的大小之比为1:7.故C错误.
D、根据匀变速直线运动的速度位移公式得,v2=2ax,知加速和减速过程中的位移大小之比为1:2.故D错误.
故选A.
点评:本题考查牛顿第二定律和运动学公式的综合运用,知道加速度是联系力学和运动学的桥梁,该题运用图象会更简答.
练习册系列答案
相关题目
| A、下滑过程中的最大速度为4 m/s | B、加速与减速过程的时间之比为1:2 | C、加速与减速过程中平均速度大小之比为1:1 | D、加速与减速过程的位移之比为1:4 |