题目内容
从驾驶员看见某情况到采取制动动作的时间里,汽车仍然匀速运动要通过一段距离(称为思考距离),而从采取制动动作到汽车完全静止的时间里,汽车匀减运动又要通过一段距离(称为制动距离).分析下表给出的数据,计算出表中的数据X、Y,正确的是( )
| 速度(m/s) | 思考距离(m) | 制动距离(m) |
| 10 | 12 | 20 |
| 15 | 18 | X |
| 20 | Y | 80 |
| 25 | 30 | 125 |
A.X=45
B.X=40
C.Y=22
D.Y=24
【答案】分析:在思考距离内做匀速直线运动,在制动距离内做匀减速直线运动,根据匀速直线运动的公式求出反应的时间,从而得出速度为20m/s时,思考的距离Y.根据速度位移公式求出制动的距离.
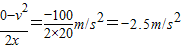
解答:解:驾驶员的反应时间t=
,则Y=vt=20×1.2m=24m.汽车制动的加速度a=
.则X=
.故A、D正确,B、C错误.
故选AD.
点评:解决本题的关键知道汽车在思考距离内做匀速直线运动,在制动距离内做匀减速直线运动,掌握匀变速直线运动的速度位移公式
.
解答:解:驾驶员的反应时间t=
故选AD.
点评:解决本题的关键知道汽车在思考距离内做匀速直线运动,在制动距离内做匀减速直线运动,掌握匀变速直线运动的速度位移公式
练习册系列答案
相关题目
| 从驾驶员看见某情况到采取制动动作的时间里,汽车仍然匀速运动要通过一段距离(称为思考距离),而从采取制动动作到汽车完全静止的时间里,汽车匀减运动又要通过一段距离(称为制动距离).分析下表给出的数据,计算出表中的数据X、Y,正确的是 ( )
|
从驾驶员看见某情况到采取制动动作的时间里,汽车仍然做匀速运动而通过一段距离(称为思考距离),而从采取制动动作到汽车完全静止的时间里,汽车做匀减运动又要通过一段距离(称为制动距离)。分析下表给出的数据,计算出表中的数据X、Y,正确的是( )
| 速度(m/s) | 思考距离(m) | 制动距离(m) |
| 10 | 12 | 20 |
| 15 | 18 | X |
| 20 | Y | 80 |
| 25 | 30 | 125 |
从驾驶员看见某情况到采取制动动作的时间里,汽车仍然做匀速运动而通过一段距离(称为思考距离),而从采取制动动作到汽车完全静止的时间里,汽车做匀减运动又要通过一段距离(称为制动距离)。分析下表给出的数据,计算出表中的数据X、Y,正确的是( )
|
速度(m/s) |
思考距离(m) |
制动距离(m) |
|
10 |
12 |
20 |
|
15 |
18 |
X |
|
20 |
Y |
80 |
|
25 |
30 |
125 |
A、X = 45 B、X = 40 C、Y = 22 D、Y = 24
从驾驶员看见某情况到采取制动动作的时间里,汽车仍然匀速运动要通过一段距离(称为思考距离),而从采取制动动作到汽车完全静止的时间里,汽车匀减运动又要通过一段距离(称为制动距离)。分析下表给出的数据,计算出表中的数据X、Y,正确的是
|
速度(m/s) |
思考距离(m) |
制动距离(m) |
|
10 |
12 |
20 |
|
15 |
18 |
X |
|
20 |
Y |
80 |
|
25 |
30 |
125 |
A X = 45 B X = 40 C Y = 22 D Y = 24
从驾驶员看见某情况到采取制动动作的时间里,汽车仍然匀速运动要通过一段距离(称为思考距离),而从采取制动动作到汽车完全静止的时间里,汽车匀减运动又要通过一段距离(称为制动距离).分析下表给出的数据,计算出表中的数据X、Y,正确的是
( )
A.X=45
B.X=40
C.Y=22
D.Y=24
( )
| 速度(m/s) | 思考距离(m) | 制动距离(m) |
| 10 | 12 | 20 |
| 15 | 18 | X |
| 20 | Y | 80 |
| 25 | 30 | 125 |
A.X=45
B.X=40
C.Y=22
D.Y=24