题目内容

如图所示,在E=103 V/m的水平向左匀强电场中,有一光滑半圆形绝缘轨道竖直放置,轨道与一水平绝缘轨道MN连接,半圆轨道所在竖直平面与电场线平行,其半径R=40 cm,一带正电荷q=10-4 C的小滑块质量为m=40 g,与水平轨道间的动摩因数μ=0.2,取g=10 m/s2,求:

(1)要小滑块能运动到圆轨道的最高点L,滑块应在水平轨道上离N点多远处释放?

(2)这样释放的滑块通过P点时对轨道压力是多大?(P为半圆轨道中点)

答案:
解析:

  解析:(1)滑块刚能通过轨道最高点条件是

  

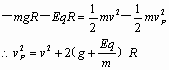
  滑块由释放点到最高点过程由动能定理:

  

  代入数据得:S=20 m

  (2)滑块过P点时,由动能定理:

  

  在P点由牛顿第二定律:

  

  代入数据得:N=1.5 N


练习册系列答案
相关题目

违法和不良信息举报电话:027-86699610 举报邮箱:58377363@163.com

精英家教网