题目内容
美国宇航局2011年12月5日宣布,他们发现了太阳系外第一颗类似地球的、可适合居住的行星--“开普勒-22b”,它每290天环绕着一颗类似于太阳的恒星运转一周,距离地球约600光年,半径是地球的2.4倍.已知万有引力常量和地球表面的重力加速度.根据以上信息,下列推理中正确的是( )A.若能观测到该行星的轨道半径,可求出所绕恒星的质量
B.若已知该行星的密度和半径,可求出该行星的轨道半径
C.根据地球的公转周期与轨道半径,可求出该行星的轨道半径
D.若该行星的密度与地球的密度相等,可求出该行星表面的重力加速度
【答案】分析:根据万有引力的公式进行判断是否能求出该行星所绕恒星的质量.
根据密度-质量关系公式推导求解.
根据万有引力等于重力表示出表面的重力加速度求解.
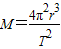
解答:解:A:万有引力提供该行星运动的向心力:
,中心天体的质量:
.能观测到该行星的轨道半径,可求出所绕恒星的质量.故A正确;
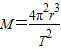
B:由
,得:
,轨道的半径与该行星的密度和半径无关,故B错误;
C:由于地球与行星不是围绕同一个中心天体做匀速圆周运动,故根据地球的公转周期与轨道半径,无法求出该行星的轨道半径,故C错误;
D:根据星球表面万有引力等于重力得:
,
得:
若该行星的密度与地球的密度相等,半径是地球的2.4倍.已知万有引力常量,所以可以求出表面该行星的重力加速度,故D正确
故选:AD
点评:该题考查天体的运动规律,由万有引力提供向心力公式求解相关问题,难度适中.
根据密度-质量关系公式推导求解.
根据万有引力等于重力表示出表面的重力加速度求解.
解答:解:A:万有引力提供该行星运动的向心力:
B:由
C:由于地球与行星不是围绕同一个中心天体做匀速圆周运动,故根据地球的公转周期与轨道半径,无法求出该行星的轨道半径,故C错误;
D:根据星球表面万有引力等于重力得:
得:
若该行星的密度与地球的密度相等,半径是地球的2.4倍.已知万有引力常量,所以可以求出表面该行星的重力加速度,故D正确
故选:AD
点评:该题考查天体的运动规律,由万有引力提供向心力公式求解相关问题,难度适中.
练习册系列答案
相关题目