题目内容
(1)做“研究平抛运动”的实验时,让小球多次沿同一轨道运动,通过描点法画小球做平抛运动的轨迹,为了能准确地描绘运动轨迹,下面列出了一些操作要求,你认为正确的是 .A.通过调节使斜槽的末端保持水平
B.每次释放小球的位置必须不同
C.每次必须由静止释放小球
D.记录小球位置用的木条(或凹槽)每次必须严格地等距离下降
E.小球运动时不应与木板上的白纸(或方格纸)相接触
F.将小球的位置记录在纸上后,取下纸,用直尺将点连成折线
(2)为了探究影响平抛运动水平射程的因素,某同学通过改变抛出点的高度及初速度的方法做了6次实验,实验数据记录如下表:
| 序号 | 抛出点的高度(m) | 水平初速度(m/s) | 水平射程(m) |
| 1 | 0.20 | 2 | 0.40 |
| 2 | 0.20 | 3 | 0.60 |
| 3 | 0.45 | 2 | 0.60 |
| 4 | 0.45 | 4 | 1.2 |
| 5 | 0.80 | 2 | 0.8 |
| 6 | 0.80 | 6 | 2.4 |
A.若探究水平射程与高度的关系,可用表中序号为1、3、5的实验数据
B.若探究水平射程与高度的关系,可用表中序号为2、4、6的实验数据
C.若探究水平射程与初速度的关系,可用表中序号为1、3、5的实验数据
D.若探究水平射程与初速度的关系,可用表中序号为2、4、6的实验数据
(3)如图a是研究小球在斜面上平抛运动的实验装置,每次将小球从弧型轨道同一位置静止释放,并逐渐改变斜面与水平地面之间的夹角θ,获得不同的射程x,最后作出了如图b所示的x-tanθ图象.则:
由图b可知,小球在斜面顶端水平抛出时的初速度v= m/s.实验中发现θ超过60°后,小球将不会掉落在斜面上,则斜面的长度为 m.
若最后得到的图象如图c所示,则可能的原因是(写出一个即可) .
【答案】分析:(1)保证小球做平抛运动必须通过调节使斜槽的末端保持水平,因为要画同一运动的轨迹,必须每次释放小球的位置相同,且由静止释放,以保证获得相同的初速度,实验要求小球滚下时不能碰到木板平面,避免因摩擦而使运动轨迹改变,最后轨迹应连成平滑的曲线;
(2)实验探究时应采用控制变量法进行实验,即应控制其它变量不变,探究其它两个变量的关系;
(3)由平抛运动的规律列出水平位移与夹角正切值的关系,即可求得小球水平抛出时的初速度;由图c中图象可得出水平位移x随tanθ的变化关系,则可分析可能的原因.
解答:解:A、通过调节使斜槽末端保持水平,是为了保证小球做平抛运动.故A正确.
B、因为要画同一运动的轨迹,必须每次释放小球的位置相同,且由静止释放,以保证获得相同的初速度.故B错误,C正确.
D、因平抛运动的竖直分运动是自由落体运动,在相同时间里,位移越来越大,因此木条(或凹槽)下降的距离不应是等距的,故D错误;
E、实验要求小球滚下时不能碰到木板平面,避免因摩擦而使运动轨迹改变,最后轨迹应连成平滑的曲线.故F错误,E正确.
故选ACE.
(2)A、若探究水平射程与高度的关系,应控制水平初速度不变,可用表中序号为1、3、5的实验数据,故A正确,B错误;
C、若探究水平射程与初速度的关系,应控制抛出点的高度高度不变,可用表中序号为1、2的实验数据,故CD错误;
故选A
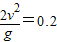
(3)物体在竖直方向上有:
y=
gt2
水平方向上x=vt

联立解得:
x=
由图可知
解得:v=1m/s;
当斜面倾角θ=60°时,设斜面长度为L,有:
Lsin60°=
gt2 ①
水平方向:Lcos60°=vt ②
由①②得:
L=0.7m
由图c可知,图象的斜率增大,故说明
增大,因重力加速度不变,故只能说明速度增大,其原因可能为:释放位置变高或小球释放时有初速度;
故答案为:(1)A C E.(2)A.
(3)1;0.70;释放位置变高(或释放时有初速度).
点评:解决平抛实验问题时,要特别注意实验的注意事项.在平抛运动的规律探究活动中不一定局限于课本实验的原理,要注重学生对探究原理的理解.图象法在物理学中应用较为广泛,一定要掌握图象的分析方法
(2)实验探究时应采用控制变量法进行实验,即应控制其它变量不变,探究其它两个变量的关系;
(3)由平抛运动的规律列出水平位移与夹角正切值的关系,即可求得小球水平抛出时的初速度;由图c中图象可得出水平位移x随tanθ的变化关系,则可分析可能的原因.
解答:解:A、通过调节使斜槽末端保持水平,是为了保证小球做平抛运动.故A正确.
B、因为要画同一运动的轨迹,必须每次释放小球的位置相同,且由静止释放,以保证获得相同的初速度.故B错误,C正确.
D、因平抛运动的竖直分运动是自由落体运动,在相同时间里,位移越来越大,因此木条(或凹槽)下降的距离不应是等距的,故D错误;
E、实验要求小球滚下时不能碰到木板平面,避免因摩擦而使运动轨迹改变,最后轨迹应连成平滑的曲线.故F错误,E正确.
故选ACE.
(2)A、若探究水平射程与高度的关系,应控制水平初速度不变,可用表中序号为1、3、5的实验数据,故A正确,B错误;
C、若探究水平射程与初速度的关系,应控制抛出点的高度高度不变,可用表中序号为1、2的实验数据,故CD错误;
故选A
(3)物体在竖直方向上有:
y=
水平方向上x=vt
联立解得:
x=
由图可知
解得:v=1m/s;
当斜面倾角θ=60°时,设斜面长度为L,有:
Lsin60°=
水平方向:Lcos60°=vt ②
由①②得:
L=0.7m
由图c可知,图象的斜率增大,故说明
故答案为:(1)A C E.(2)A.
(3)1;0.70;释放位置变高(或释放时有初速度).
点评:解决平抛实验问题时,要特别注意实验的注意事项.在平抛运动的规律探究活动中不一定局限于课本实验的原理,要注重学生对探究原理的理解.图象法在物理学中应用较为广泛,一定要掌握图象的分析方法
练习册系列答案
相关题目