题目内容
A.合外力不断增大
B.加速度不断减小
C.位移不断减小
D.平均速度
【答案】分析:速度-时间图象中每一点表示该时刻所对应的速度,图线的每一点的斜率表示物体在该点的加速度,则根据图象的斜率可知加速度的变化;由速度公式可求得位移及平均速度.
解答:解:A、由图可知物体的速度越来越小,曲线的斜率越来越小,故加速度不断减小,根据F=ma,可知,合外力也不断减小,故A错误,B正确;
C、因速度一直沿正方向,故物体的位移越来越大;故C错误;
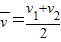
D、若物体做匀变速运动,平均速度为
,而由图可知,图示中的物体的位移小于从t1开始的匀减速直线运动,故平均速度小于
,故D错误;
故选B.
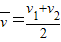
点评:图象为高中物理解决问题的常用方法,应能熟练应用;同时注意平均速度公式
只能适用于匀变速直线运动.
解答:解:A、由图可知物体的速度越来越小,曲线的斜率越来越小,故加速度不断减小,根据F=ma,可知,合外力也不断减小,故A错误,B正确;
C、因速度一直沿正方向,故物体的位移越来越大;故C错误;
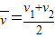
D、若物体做匀变速运动,平均速度为
故选B.
点评:图象为高中物理解决问题的常用方法,应能熟练应用;同时注意平均速度公式
练习册系列答案
相关题目