题目内容

一束电子(不计重力)从静止开始经加速电压U1加速后,以水平速度射入水平放置的两平行金属板中间,如图所示,金属板长为l,两板距离为d,竖直放置的荧光屏距金属板右端为L.若在两金属板间加直流电压U2时,光点偏离中线与荧光屏交点O,打在荧光屏上的P点,求=?

答案:
解析:

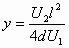
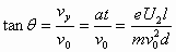
  解:设电子射出偏转极板时偏移距离为y,偏转角为

  则①(2分)

  又②(2分)

  ③(2分)

  在加速电场中加速过程,由动能定理,有

  ④(2分)

  由②③④解得(2分)

  代入①得(2分)


练习册系列答案
相关题目

违法和不良信息举报电话:027-86699610 举报邮箱:58377363@163.com

精英家教网