题目内容
下列说法正确的是( )A.太阳辐射的能量主要来自太阳内部的裂变反应
B.利用卢瑟福的α粒子散射实验可以估算原子核的大小
C.玻尔理论是依据α粒子散射实验分析得出的
D.氢原子核外电子从半径较小的轨道跃迁到半径较大的轨道时,电子的动能增大,原子势能减小,总能量增大
【答案】分析:太阳辐射的能量主要来自太阳内部的轻核聚变;卢瑟福运用α粒子散射实验估算原子核的大小;玻尔理论是在核式结构模型与经典物理理论产生矛盾,在普朗克、爱因斯坦的量子理论的基础上提出的;根据轨道半径的变化,通过库仑引力提供向心力,判断动能的变化,通过总能量的变化判断电势能的变化.
解答:解:A、太阳辐射的能量主要来自太阳内部的轻核聚变,又称为热核反应.故A错误.
B、卢瑟福运用α粒子散射实验估算原子核的大小.故B正确.
C、卢瑟福提出原子核式模型,这一模型与经典物理理论之间存在着尖锐矛盾,原子将不断辐射能量而不可能稳定存在;原子发射连续谱,而不是实际上的离散谱线.玻尔着眼于原子的稳定性,吸取了普朗克、爱因斯坦的量子概念,提出原子结构的玻尔理论.故C错误.
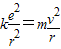
D、根据
,轨道半径增大,电子的动能减小,原子能量增大,势能增大.故D错误.
故选B.
点评:本题考查了聚变和裂变反应、玻尔理论以及能级等知识点,关键掌握这些知识的基本概念和基本规律,以及理清一些物理学史.
解答:解:A、太阳辐射的能量主要来自太阳内部的轻核聚变,又称为热核反应.故A错误.
B、卢瑟福运用α粒子散射实验估算原子核的大小.故B正确.
C、卢瑟福提出原子核式模型,这一模型与经典物理理论之间存在着尖锐矛盾,原子将不断辐射能量而不可能稳定存在;原子发射连续谱,而不是实际上的离散谱线.玻尔着眼于原子的稳定性,吸取了普朗克、爱因斯坦的量子概念,提出原子结构的玻尔理论.故C错误.
D、根据
故选B.
点评:本题考查了聚变和裂变反应、玻尔理论以及能级等知识点,关键掌握这些知识的基本概念和基本规律,以及理清一些物理学史.
练习册系列答案
相关题目