题目内容
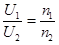
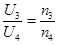
某小型水电站的电能输送示意图如图所示,发电机的输出电压为200 V,输电线总电阻为r,升压变压器原、副线圈匝数分别为n1、n2,降压变压器原、副线圈匝数分别为n3、n4(变压器均为理想变压器).要使额定电压为220 V的用电器正常工作,则
![]()
A.
>
B.
<
C.升压变压器的输出电压等于降压变压器的输入电压
D.升压变压器的输出功率大于降压变压器的输入功率
【答案】
AD
【解析】
试题分析:因为升压变压器中
,降压变压器中
,由于U1<U4,U2>U3,所以
,即
>
;由于导线上有电压损失,所以升压变压器的输出功率大于降压变压器的输入功率。选项AD正确。
考点:远距离输电及变压器问题。
练习册系列答案
相关题目
如图所示为某小型水电站的电能输送示意图,A为升压变压器,其输入功率为P1输出功率为P2,输出电压为U2;B为降压变压器,其输人功率为P3,输入电压为U3.A、B均为理想变压器,输电电流为I,输电线的总电阻为r,则下列关系正确的是( )

| A、U2=U3 | B、U2=U3+Ir | C、P1>P2 | D、P2=P1 |