题目内容
将单摆挂在测力传感器的探头上,用测力探头和计算机组成的实验装置来测定单摆摆动过程中摆线受到的拉力(单摆摆角小于5°),计算机屏幕上得到如图a所示的图象.然后使单摆保持静止,得到如图b所示的图象.那么:(1)此单摆的周期为 s.
(2)设摆球在最低点时重力势能EP=0,已测得当地重力加速度为g,单摆的周期用T表示,那么测得此单摆摆动时的机械能E的表达式是 .
A.E=
【答案】分析:(1)单摆在摆动的过程中,通过平衡位置时,拉力和重力的合力提供向心力,此时拉力最大.在最大位移处,拉力等于重力的分力,此时拉力最小,结合图a,可知单摆的周期.
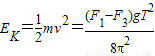
(2)在最低点F1-mg=m
,mg=F3.单摆摆动时的机械能等于最低点的动能和势能之和.根据单摆的周期公式
,求出摆长,代入F1-mg=m
,求出动能.
解答:解:(1)平衡位置处拉力最大,最大位移处拉力最小.从图a中看出单摆的周期为0.8s.
(2)单摆在最低点时F1-mg=m
,mg=F3.根据周期公式摆长l=
,联立三个式子,得:
.故A正确,B、C、D错误.
故选A.
点评:解决本题的关键掌握单摆的周期公式
.以及知道单摆在摆动的过程中,通过平衡位置时,拉力和重力的合力提供向心力,此时拉力最大.在最大位移处,拉力等于重力的分力,此时拉力最小.
(2)在最低点F1-mg=m
解答:解:(1)平衡位置处拉力最大,最大位移处拉力最小.从图a中看出单摆的周期为0.8s.
(2)单摆在最低点时F1-mg=m
故选A.
点评:解决本题的关键掌握单摆的周期公式
练习册系列答案
相关题目