题目内容
如图所示的真空空间中,仅在正方体中的黑点处存在着电荷量大小相等的点电荷(电荷的正负图中已标注),则图中a,b两点电场强度和电势均相同的是( )A.
B.
C.
D.
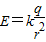
【答案】分析:根据点电荷的电场强度公式
可得各个点电荷在正方体的顶点的电场场强大小,再根据矢量合成,求出合场强,再根据正电荷的受力判断场强的方向.有U=Φ2-Φ1,U=Ed得,Φ2-Φ1=Ed可判断电势高低.
解答:解:A、根据点电荷的电场强度公式
可得各个点电荷在正方体的顶点的电场场强大小,可计算得a、b两点电场强度大小相等,根据正电荷的受力判断场强的方向相反,故A错误.
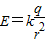
B、根据点电荷的电场强度公式
,可求得各个点电荷在a、b两点的电场场强大小,再根据矢量的合成,可得a、b两点的电场场强大小不等,故B不错.
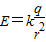
C、根据点电荷的电场强度公式
可得各个点电荷在a、b两点的电场场强大小相等,再根据矢量合成,求出合场强相等,再根据正电荷的受力判断场强的方向相同.再根据U=Φ2-Φ1,U=Ed得,Φ2-Φ1=Ed可判断a、b两电势相等.故C正确.
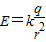
D、根据点电荷的电场强度公式
可得a、b两点的电场场强大小相等,再根据矢量合成,求出合场强相等,再根据正电荷的受力判断场强的方向不同.故D错误.
故选C.
点评:考查了点电荷的电场强度公式
,矢量的合成,电势差与电势的关系,电势差与电场强的关系.
解答:解:A、根据点电荷的电场强度公式
B、根据点电荷的电场强度公式
C、根据点电荷的电场强度公式
D、根据点电荷的电场强度公式
故选C.
点评:考查了点电荷的电场强度公式
练习册系列答案
相关题目