题目内容
如图所示,理想变压器原、副线圈的匝数比为2:1,电阻R=55Ω,原线圈两端接一正弦式交变电流,该交变电流电压的有效值为220V.电路中交流电压表和电流表的示数分别为( )A.110V、2.0A
B.440V、8.0A
C.156V、1.4A
D.55V、0.5A
【答案】分析:根据理想变压器中原副线圈的电压与匝数比之间关系可以直接求解电压表的示数,根据欧姆定律求得电流表的示数.
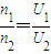
解答:解:根据
得:
U1=110V,所以电压表的示数为110V,
根据欧姆定律得:
,即电流表的示数为2A
故选A
点评:掌握输入电压和输出电压之比等于原副线圈的匝数比是解决此类问题的关键.
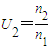
解答:解:根据
根据欧姆定律得:
故选A
点评:掌握输入电压和输出电压之比等于原副线圈的匝数比是解决此类问题的关键.
练习册系列答案
相关题目
| 2 |
| A、电流频率为50HZ |
| B、伏特表的读数为24V |
| C、安培表的读数为0.5A |
| D、变压器输入功率为6W |
| A、副线圈的两端M、N的输出电压不变 | B、副线圈输电线等效电阻R上的电压增大 | C、通过灯泡L1的电流增大 | D、原线圈中的电流增大 |
| A、3mA | B、48mA | C、与R的阻值有关 | D、0 |