题目内容
如图为某匀强电场的等势面分布图(等势面竖直分布),已知每两个相邻等势面相距2cm,则该匀强电场的电场强度大小和方向分别为 ( )
![]()
A.
,竖直向下
B.
,竖直向上
C.
,水平向左
D.
,水平向右
【答案】
C
【解析】
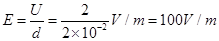
试题分析:根据电场线总是与等势面垂直,而且由高电势指向低电势,可知,电场强度方向水平向左;两个相邻等势面相距d=2cm,电势差U=2V,则电场强度
,故选C
考点:等势面;电场强度
练习册系列答案
相关题目
如图为某匀强电场的等势面分布图,每两个相邻等势面相距2 cm,则该匀强电场的场强大小和方向分别为( )![]()
| A.E=200 V/m,竖直向下 |
| B.E=100 V/m,竖直向上 |
| C.E=200 V/m,水平向左 |
| D.E=100 V/m,水平向左 |