题目内容
如图所示的水平传送带以速度v=2m/s匀速运动,传送带把一煤块从A运送到B,A、B相距L=10m,若煤块在A处是由静止放在皮带上,经过6s可以到达B处,求:(1)煤块在A、B间运动的加速度.?
(2煤块在皮带上留下的痕迹的长度.
(3)若改变传送带的速度为另一数值,则到达B的时间亦改变,求煤块以最短时间到达B时传送带的最小速度.?
【答案】分析:(1)煤块在传送带上发生相对滑动,当速度与传送带的速度相同时一起做匀速运动.判断煤块是否匀速,若先加速后匀速运动,根据运动学公式求出加速度.
(2)煤块在发生相对滑动时,留下痕迹.求出煤块速度与传送带速度相同时,两者的位移,而位移之差即为痕迹的长度.
(3)要使煤块运行的时间最短,则煤块一直做匀加速直线运动,此时到达B点的速度为传送带的最小速度.
解答:解:(1)煤块从A处无初速度放在传送带上以后,将在摩擦力作用下做匀加速运动,若一直做匀加速直线运动,整个过程的平均速度小于等于
,因为
>
,这表明煤块从A到B先做匀加速运动,后做匀速运动.
设煤块做匀加速运动的加速度为a,加速的时间为t1,相对地面通过的位移为x,则有
v=at1,x=
,x+v(t-t1)=L.
数值代入得a=1 m/s2.
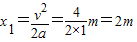
(2)当煤块的速度达到2m/s时,煤块的位移
.煤块运行的时间
.
此时传送带的位移x2=vt=2×2m=4m.
则煤块相对于传送带的位移△x=x2-x1=2m.
所以痕迹的长度为2m.
(3)要使煤块从A到B得时间最短,须使它始终做匀加速直线运动,至B点时速度为运送时间最短所对应的皮带运行的最小速度.
由v2=2aL,得v=
.
故煤块以最短时间到达B时传送带的最小速度为
.
点评:解决本题的关键会判断煤块在传送带上的运动情况,知道留下的痕迹是煤块相对于传送带滑动的位移.要使煤块从A到B得时间最短,须使它始终做匀加速直线运动,至B点时速度为运送时间最短所对应的皮带运行的最小速度.
(2)煤块在发生相对滑动时,留下痕迹.求出煤块速度与传送带速度相同时,两者的位移,而位移之差即为痕迹的长度.
(3)要使煤块运行的时间最短,则煤块一直做匀加速直线运动,此时到达B点的速度为传送带的最小速度.
解答:解:(1)煤块从A处无初速度放在传送带上以后,将在摩擦力作用下做匀加速运动,若一直做匀加速直线运动,整个过程的平均速度小于等于
设煤块做匀加速运动的加速度为a,加速的时间为t1,相对地面通过的位移为x,则有
v=at1,x=
数值代入得a=1 m/s2.
(2)当煤块的速度达到2m/s时,煤块的位移
此时传送带的位移x2=vt=2×2m=4m.
则煤块相对于传送带的位移△x=x2-x1=2m.
所以痕迹的长度为2m.
(3)要使煤块从A到B得时间最短,须使它始终做匀加速直线运动,至B点时速度为运送时间最短所对应的皮带运行的最小速度.
由v2=2aL,得v=
故煤块以最短时间到达B时传送带的最小速度为
点评:解决本题的关键会判断煤块在传送带上的运动情况,知道留下的痕迹是煤块相对于传送带滑动的位移.要使煤块从A到B得时间最短,须使它始终做匀加速直线运动,至B点时速度为运送时间最短所对应的皮带运行的最小速度.
练习册系列答案
相关题目