题目内容
甲、乙两车相距x=40.5m,同时沿平直公路做直线运动,甲车在前,以初速度v1=16m/s,加速度a1=-2m/s2作匀减速直线运动,乙车在后,以初速度v2=4.0m/s,加速度a2=1.0m/s2与甲同向作匀加速直线运动,求:(1)相遇前,甲、乙两车间的最大距离?
(2)乙车追上甲车经历的时间.
【答案】分析:(1)速度相等前,甲车的速度大于乙车的速度,两者的距离越来越大,速度相等后,乙车的速度大于甲车的速度,两者的距离越来越小,知速度相等时,甲乙两车间有最大距离.
(2)求出甲车减速到停止所需的时间,得出此时两车相距的距离,这段距离内,甲车停止,乙车做有初速度的匀加速直线运动,根据运动学公式求出时间,从而得出乙车追上甲车经历的时间.
解答:解:(1)设经过时间t1二者速度相等,此时两车间的距离最大
即:v1+a1t=v2+a2t得16-2t1=4+t1
解得:t1=4.0s
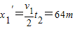
此时甲车
对乙车
则相遇前最大距离为:△xmax=x+x1-x2=64.5m
故两车的最大距离为64.5m.
(2)甲车运动的总时间
,甲车位移
乙车位移
故甲车停止时,甲、乙两车相距恰好仍为x=40.5m
甲车停后,乙车以v2′=v2+a2t2=12m/s为初速度作匀加速直线运动,
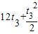
设再经过时间t3追上甲车,
即40.5=
解得t3=3s
则乙车追上甲车经历的时间为:t=t2+t3=11s
故乙车追上甲车经历的时间为11s.
点评:解决本题的关键理清两车的运动,可以画出运动的示意图,知道两车相遇前,速度相等时有最大距离.
(2)求出甲车减速到停止所需的时间,得出此时两车相距的距离,这段距离内,甲车停止,乙车做有初速度的匀加速直线运动,根据运动学公式求出时间,从而得出乙车追上甲车经历的时间.
解答:解:(1)设经过时间t1二者速度相等,此时两车间的距离最大
即:v1+a1t=v2+a2t得16-2t1=4+t1
解得:t1=4.0s
此时甲车
对乙车
则相遇前最大距离为:△xmax=x+x1-x2=64.5m
故两车的最大距离为64.5m.
(2)甲车运动的总时间
乙车位移
故甲车停止时,甲、乙两车相距恰好仍为x=40.5m
甲车停后,乙车以v2′=v2+a2t2=12m/s为初速度作匀加速直线运动,
设再经过时间t3追上甲车,
解得t3=3s
则乙车追上甲车经历的时间为:t=t2+t3=11s
故乙车追上甲车经历的时间为11s.
点评:解决本题的关键理清两车的运动,可以画出运动的示意图,知道两车相遇前,速度相等时有最大距离.
练习册系列答案
相关题目