题目内容
(10分)如图所示,质量为m的物体放在水平桌面上。在水平恒力F作用下,速度由v1增大到v2的过程中,发生的位移为s。已知物体与水平桌面的动摩擦因数为μ,重力加速度为g。
![]()
(1)分别求出水平恒力F和摩擦力所做的功;
(2)若此过程中合外力所做的功用W合表示,物体动能的增量用ΔEk表示,证明W合=ΔEk。
【答案】
(1)
(2)过程见解析
【解析】
试题分析:
(1)水平恒力与位移方向相同,所以水平恒力所做的功 ![]()
摩擦力方向与位移方向相反,摩擦力所做的功 ![]()
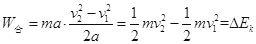
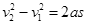
(2)物体在合外力作用下做匀加速直线运动,有
![]()
由牛顿第二定律,合外力
合外力对物体所做的功
![]()
考点:功 牛顿运动定律
练习册系列答案
相关题目
| A、地面对楔形物块的支持力为(M+m)g | B、地面对楔形物块的摩擦力为零 | C、楔形物块对小物块摩擦力可能为零 | D、小物块一定受到四个力作用 |