题目内容
如图所示是一个双量程电压表,表头是一个内阻为Rg=500Ω,满偏电流为1mA的毫安表,表盘刻度分为100个刻度.现接成量程分别为10V和100V的两个量程,则所串联的电阻R1= ,此时刻度盘每个刻度表示 V,所串联的电阻R2= .
【答案】分析:电流表改装成电压表要串联电阻分压,串联的阻值为
,U为改装后的量程.每个刻度值由量程除以总刻度求得.
解答:解:10V的量程时所串电阻为R1,则:
则每个刻度表示的电压为:
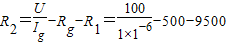
100V的量程所串的总电阻为:
则:
=90000Ω
故答案为:9500Ω;0.1;90000Ω
点评:考查的电压表的改装原理,明确串联电阻的分压作用,会求串联电阻阻值
解答:解:10V的量程时所串电阻为R1,则:
则每个刻度表示的电压为:
100V的量程所串的总电阻为:
故答案为:9500Ω;0.1;90000Ω
点评:考查的电压表的改装原理,明确串联电阻的分压作用,会求串联电阻阻值
练习册系列答案
相关题目