题目内容
如图所示,正点电荷2Q、Q分别置于 M、N两点,O点为MN连线的中点.点a,b在MN连线上,点c,d在MN中垂线上,它们都关于O点对称.下列说法正确的是( )A.O点的电势高于c点的电势
B.a、b两点的电场强度相同
C.电子在a点的电势能大于在b点的电势能
D.将电子沿直线从c点移到d点,电场力对电子先做负功后做正功
【答案】分析:A、根据电场线分布,沿电场线方向电势逐渐降低来比较O点和c点的电势.
B、求出a、b两点的电场强度,进行比较.
C、电子从a点移到b点,通过电场力做功比较电势能的大小.
D、将电子沿直线从c点移到d点,通过电子所受的电场力与速度的方向夹角判断电场力做正功还是负功.
解答:解:A、同种电荷的电场线是排斥状的,沿电场线方向电势逐渐降低,知O点的电势高于c点的电势.故A正确.
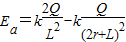
B、设Ma=L,aO=r,则a点的电场强度
,
,可见Ea≠Eb.故B错误.
C、若将电子从a点运动到b点,电场力总体而言做负功,电势能增加.所以电子在a点的电势能小于在b点的电势能.故C错误.
D、对两个电荷在中垂线上的场强进行叠加,在Oc段方向斜向右上,在0d段方向斜向右下.所以电子所受的电场力在Oc段斜向左下,在0d段斜向左上,电场力跟速度的方向先是锐角后是钝角,电场力对电子先做正功后做负功.故D错误.
故选A.
点评:解决本题的关键会进行电场的叠加,以及通过电场力与速度的方向关系判断电场力做正功还是负功.
B、求出a、b两点的电场强度,进行比较.
C、电子从a点移到b点,通过电场力做功比较电势能的大小.
D、将电子沿直线从c点移到d点,通过电子所受的电场力与速度的方向夹角判断电场力做正功还是负功.
解答:解:A、同种电荷的电场线是排斥状的,沿电场线方向电势逐渐降低,知O点的电势高于c点的电势.故A正确.
B、设Ma=L,aO=r,则a点的电场强度
C、若将电子从a点运动到b点,电场力总体而言做负功,电势能增加.所以电子在a点的电势能小于在b点的电势能.故C错误.
D、对两个电荷在中垂线上的场强进行叠加,在Oc段方向斜向右上,在0d段方向斜向右下.所以电子所受的电场力在Oc段斜向左下,在0d段斜向左上,电场力跟速度的方向先是锐角后是钝角,电场力对电子先做正功后做负功.故D错误.
故选A.
点评:解决本题的关键会进行电场的叠加,以及通过电场力与速度的方向关系判断电场力做正功还是负功.
练习册系列答案
相关题目