题目内容
某物理兴趣小组要精确测量一只电流表G(量程为1mA、内阻约为100Ω)的内阻.实验室中可供选择的器材有:电流表A1:量程为3mA内阻约为200Ω;
电流表A2:量程为0.6A,内阻约为0.1Ω;
定值电阻R1:阻值为10Ω;
定值电阻R2:阻值为60Ω;
滑动变阻器R3:最大电阻20Ω,额定电流1.5A;
直流电源:电动势1.5V,内阻0.5Ω;
开关,导线若干.
(1)为了精确测量电流表G的内阻,你认为该小组同学应选择的电流表为 、定值电阻为 .(填写器材的符号)
(2)在方框中画出你设计的实验电路图
(3)按照你设计的电路进行实验,测得电流表A的示数为I1,电流表G的示数为I2,则电流表G的内阻的表达式为rg= .
(4)请列出你所知道的测量电阻的方法: .(至少写出两种)
【答案】分析:(1)根据待测电流表的量程选择电流表,由欧姆定律求出电路最大电流时电路的最小电阻,根据该电阻选择定值电阻.
(2)没有电压表,可以把待测电流表与定值电阻并联,然后由电流表测出并联电流,然后由并联电路特点及欧姆定律求出待测电流表内阻;为了多次测量,可以使用滑动变阻器的分压接法;据此设计实验电路.
(3)由并联电路特点及欧姆定律求出电流表G的内阻
解答:解:(1)待测电流表G量程是1mA,其并联电路的电流和电阻应与其相当,选电阻R2,电流表A1
(2)待测电流表与定值电阻并联,然后由电流表测出并联电流,滑动变阻器采用分压接法,电路图如图所示.

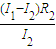
(3)电流表A的示数为I1,电流表G的示数为I2,通过定值电阻的电流为I=I1-I2,电流表G两端的电压U=IR2,
待测电流表内阻rg=
(4)伏安法、欧姆表法、半偏法、替代法、电桥法等均可.
故答案为:(1)A1、R2
(2)如图所示
(3)rg=
(4)伏安法、欧姆表法、半偏法、替代法、电桥法等均可.
点评:本题考查电阻的测量方法,明确并联电路的电流与电阻的大小关系.
(2)没有电压表,可以把待测电流表与定值电阻并联,然后由电流表测出并联电流,然后由并联电路特点及欧姆定律求出待测电流表内阻;为了多次测量,可以使用滑动变阻器的分压接法;据此设计实验电路.
(3)由并联电路特点及欧姆定律求出电流表G的内阻
解答:解:(1)待测电流表G量程是1mA,其并联电路的电流和电阻应与其相当,选电阻R2,电流表A1
(2)待测电流表与定值电阻并联,然后由电流表测出并联电流,滑动变阻器采用分压接法,电路图如图所示.
(3)电流表A的示数为I1,电流表G的示数为I2,通过定值电阻的电流为I=I1-I2,电流表G两端的电压U=IR2,
待测电流表内阻rg=
(4)伏安法、欧姆表法、半偏法、替代法、电桥法等均可.
故答案为:(1)A1、R2
(2)如图所示
(3)rg=
(4)伏安法、欧姆表法、半偏法、替代法、电桥法等均可.
点评:本题考查电阻的测量方法,明确并联电路的电流与电阻的大小关系.
练习册系列答案
相关题目