题目内容

如图为双缝干涉的实验示意图,若要使干涉条纹的间距变大可改用长更    (填长、短)的单色光,或是使双缝与光屏间的距离    (填增大、减小).
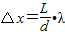
【答案】分析:双缝干涉相邻条纹之间的距离,其中λ为入射光的波长,L为双缝与屏之间的距离,d为双缝之间的距离.
解答:解:依据双缝干涉相邻条纹间距规律,可知要使干涉条纹的间距变大,在其它条件不变的情况下要么改用波长更长的单色光即增大λ,要么增大双缝与屏之间的距离L,要么减小双缝之间的距离d.
故答案为:长;增大.
点评:掌握了双缝干涉相邻条纹之间的距离公式,明确每个物理量的含义是解决此类题目的关键.
练习册系列答案
相关题目
(1)用油膜法估测油酸分子的大小,实验器材有:浓度为0.05% (体积分数) 的油酸酒精溶液、最小刻度为0.1mL的量筒、盛有适量清水的45×50cm2浅盘、痱子粉、橡皮头滴管、玻璃板、彩笔、坐标纸.下面是实验步骤,请填写所缺的步骤C
A.用滴管将浓度为0.05%油酸酒精溶液一滴一滴地滴入量筒中,记下滴入l mL油酸酒精溶液时的滴数N
B.将痱子粉均匀地撒在浅盘内水面上,用滴管吸取浓度为0.05%的油酸酒精溶液,从低处向水面中央一滴一滴地滴入,直到油酸薄膜有足够大的面积又不与器壁接触为止,记下滴入的滴数n.
C.
将玻璃板放在浅盘上,用彩笔将油酸薄膜的形状画在玻璃板上
将玻璃板放在浅盘上,用彩笔将油酸薄膜的形状画在玻璃板上

D.将画有油酸薄膜轮廓的玻璃板放在坐标纸上,以坐标纸上边长为1cm的正方形为单位,计算轮廓内正方形的个数,算出油酸薄膜的面积S
用已给的和测得的物理量表示单个油酸分子的直径大小
0.05%n
NS
0.05%n
NS
cm.
(2)空气压缩机在一次压缩过程中,活塞对气缸中的气体做功为2.0×105J,同时气体的内能增加了1.5×105J.试问:此压缩过程中,气体
放出
放出
(填“吸收”或“放出”的热量等于
5×104
5×104
J.
(3)如图为双缝干涉的实验示意图,若要使干涉条纹的间距变大可改用波长更
 (填、“长”或”短”) 的单色光,或是使双缝与光屏间的距离
增大
增大
 (填”增大”、减小”).

违法和不良信息举报电话:027-86699610 举报邮箱:58377363@163.com

精英家教网