题目内容

氢原子辐射出一个光子后,根据玻尔理论,下述说法中正确的是( )
A.电子绕核旋转的半径增大
B.氢原子的能量增大
C.氢原子的电势能增大
D.氢原子核外电子的速率增大
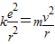
【答案】分析:氢原子辐射出一个光子后,从高能级向低能级跃迁,轨道半径减小,根据库仑引力提供向心力,得出电子速度的变化,从而得出电子动能的变化,根据氢原子能量的变化得出电势能的变化.
解答:解:氢原子辐射出一个光子后,从高能级向低能级跃迁,氢原子的能量减小,轨道半径减小,根据,得轨道半径减小,电子速率增大,动能增大,由于氢原子能量减小,则氢原子电势能减小.故D正确,A、B、C错误.
故选D.
点评:解决本题的关键知道从高能级向低能级跃迁,辐射光子,从低能级向高能级跃迁,吸收光子,以及知道原子的能量等于电子动能和电势能的总和,通过动能的变化可以得出电势能的变化.
练习册系列答案
相关题目
选做题(请从A、B和C三小题中选定两小题作答,并在答题卡上把所选题目对应字母前的方框涂满涂黑.如都作答,则按A、B两小题评分.)
A.(选修模块3-3)
(1)下列说法正确的是
 

A.只要外界对气体做功,气体内能一定增大
B.物体由气态变成液态的过程,分子势能减小
C.当分子间距离增大时,分子间引力增大,而分子间斥力减小
D.液体表面层的分子比液体内部的分子有更大的分子势能
(2)如图所示精英家教网,弹簧一端固定于水平面上,另一端与质量为m的活塞拴接在一起,开口向下、质量为M的气缸与活塞一起封闭了一定质量的气体.气缸和活塞均可与外界进行热交换.若外界环境的温度缓慢降低,则封闭气体的体积将
 
(填“增大”、“减小”或“不变”),同时将
 
(填“吸热”、“放热”或“既不吸热,也不放热”).
(3)某种油的密度为ρ,摩尔质量为M.取体积为V的油慢慢滴出,可滴n滴.将其中一滴滴在广阔水面上,形成面积为S的单分子油膜.试估算:①阿伏加德罗常数;②其中一滴油滴含有的分子数.
B.(选修模块3-4)
(1)以下说法中正确的是
 

A.隐形战机表面涂料利用了干涉原理,对某些波段的电磁波,涂料膜前后表面反射波相互抵消
B.全息照片往往用激光来拍摄,主要是利用了激光的相干性
C.根据宇宙大爆炸学说,遥远星球发出的红光被地球接收到时可能是红外线
D.海市蜃楼是光的色散现象引起的
(2)有两个同学利用假期分别去参观北大和南大的物理实验室,各自在那里利用先进的DIS系统较准确地探究了“单摆的周期T与摆长L的关系”,他们通过校园网交换实验数据,并由计算机绘制了T2~L图象,如图甲所示.去北大的同学所测实验结果对应的图线是
 
(选填“A”或“B”).另外,在南大做探究的同学还利用计算机绘制了其在实验室
得到的两个单摆的振动图象(如图乙),由图可知,两单摆摆长之比
La
Lb
=
 

精英家教网
(3)如图所示,半圆玻璃砖的半径R=10cm,折射率为n=
3
,直径AB与屏幕垂直并接触于A点.激光a以入射角i=30°射向半圆玻璃砖的圆心O,结果在水平屏幕MN上出现两个光斑.求两个光斑之间的距离L.
精英家教网
C.(选修模块3-5)
(1)下列说法正确的有
 

A.卢瑟福的α粒子散射实验可以估测原子核的大小
B.氢原子辐射出一个光子后,氢原子的电势能增大,核外电子的运动加速度增大
C.物质波是一种概率波,在微观物理学中不可以用“轨迹”来描述粒子的运动
D.β衰变说明了β粒子(电子)是原子核的组成部分
(2)如图为氢原子的能级图,大量处于n=4激发态的氢原子跃迁时,发出多个能量不同的光子,其中频率最大的光子能量为
 
eV,若用此光照射逸出功为2.75V的光电管上,则加在该光电管上的反向遏止电压为
 
V
精英家教网
(3)查德威克通过α粒子轰击铍核的实验发现了中子.
完成下列核反应方程:24He+49Be
 

通过在云室中让中子与静止的已知质量的核发生正碰的实验可以测定中子的质量,若已知被碰核氮核的质量为M,中子的入射速度大小为v,反弹速度大小为
13v
15
,氮核在碰撞中获得的速度大小为
2v
15
,则中子的质量多大?

违法和不良信息举报电话:027-86699610 举报邮箱:58377363@163.com

精英家教网