题目内容
原子处于基态时最稳定,处于较高能级时会自发地向低能级跃迁.如图所示为氢原子的能级图.现让一束单色光照射到大量处于基态(量子数n=1)的氢原子上,被激发的氢原子能自发地发出3种不同频率的色光,则照射氢原子的单色光的光子能量为______eV,用这种光照射逸出功为4.54eV的金属表面时,逸出的光电子的最大初动能是______eV.
【答案】分析:1、根据向低能级跃迁时,可以发出3种不同频率的光子,求出原子吸收光子后跃迁的最高能级,能级差就为照射氢原子的单色光的光子能量.
2、根据爱因斯坦光电效应方程,代入数据即可解的逸出的光电子的最大初动能.
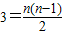
解答:解:1、根据被激发的氢原子能自发地发出3种不同频率的色光,有
,解得n=3,即处于基态的氢原子最高可以跃迁到第3能级.
根据跃迁理论,第3和第1能级之间的能级差就为照射光子的能量,所以hν=E3-E1=-1.51-(-13.6)eV=12.09eV
2、根据爱因斯坦光电效应方程Ekm=hv-W,有逸出的光电子的最大初动能为Ekm=12.09-4.54eV
故答案为:12.09,7.55.
点评:正确根据氢原子的能级公式和跃迁进行有关问题的计算,是原子物理部分的重点知识,要注意加强训练.
2、根据爱因斯坦光电效应方程,代入数据即可解的逸出的光电子的最大初动能.
解答:解:1、根据被激发的氢原子能自发地发出3种不同频率的色光,有
根据跃迁理论,第3和第1能级之间的能级差就为照射光子的能量,所以hν=E3-E1=-1.51-(-13.6)eV=12.09eV
2、根据爱因斯坦光电效应方程Ekm=hv-W,有逸出的光电子的最大初动能为Ekm=12.09-4.54eV
故答案为:12.09,7.55.
点评:正确根据氢原子的能级公式和跃迁进行有关问题的计算,是原子物理部分的重点知识,要注意加强训练.
练习册系列答案
相关题目