题目内容
在验证机械能守恒定律的实验中,质量为m的重锤拖着纸带下落,在此过程中,打点计时器在纸带上打出一系列的点.在纸带上选取五个相邻计数点A、B、C、D和E,相邻计数点时间间隔为T,如图所示.其中0为重锤开始下落时记录的点,各计数点之间的距离如图7所示,当地重力加速度g.(1)打点计时器打下计数点B时,重锤下落的速度vB= ,打点计时器打下计数点D时,重锤下落的速度vD= .
(2)从打下计数点B到打下计数点D的过程中,重锤重力势能减小量△EP= ,重锤动能增加量△EK= .
(3)在误差允许范围内,通过比较 就可以验证重锤下落过程中机械能守恒了.
【答案】分析:解决实验问题首先要掌握该实验原理,了解实验的仪器、操作步骤和数据处理以及注意事项.
纸带法实验中,若纸带匀变速直线运动,测得纸带上的点间距,利用匀变速直线运动的推论,可计算出打出某点时纸带运动的瞬时速度和加速度,从而求出动能.根据功能关系得重力势能减小量等于重力做功的数值.
解答:解:(1):利用匀变速直线运动的推论
vB=
=
vD=
=
(2)根据重力势能的定义式得出:
从打下计数点B到打下计数点D的过程中,重锤重力势能减小量△EP=mgh=mg(S2+S3)
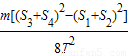
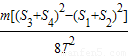
△EK=EkD-EkB=
mvD2-
mvB2=
(3)在误差允许范围内,通过比较△EP和△EK大小是否相等就可以验证重锤下落过程中机械能守恒了.
故答案为:(1)
,
(2)mg(S2+S3),
(3)△EP和△EK大小是否相等
点评:运用运动学公式和动能、重力势能的定义式解决问题是该实验的常规问题.
对于字母的运算要细心点.
纸带法实验中,若纸带匀变速直线运动,测得纸带上的点间距,利用匀变速直线运动的推论,可计算出打出某点时纸带运动的瞬时速度和加速度,从而求出动能.根据功能关系得重力势能减小量等于重力做功的数值.
解答:解:(1):利用匀变速直线运动的推论
vB=
vD=
(2)根据重力势能的定义式得出:
从打下计数点B到打下计数点D的过程中,重锤重力势能减小量△EP=mgh=mg(S2+S3)
△EK=EkD-EkB=
(3)在误差允许范围内,通过比较△EP和△EK大小是否相等就可以验证重锤下落过程中机械能守恒了.
故答案为:(1)
(2)mg(S2+S3),
(3)△EP和△EK大小是否相等
点评:运用运动学公式和动能、重力势能的定义式解决问题是该实验的常规问题.
对于字母的运算要细心点.
练习册系列答案
相关题目