题目内容

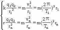
玻尔在氢原子能级的假说中,给出了电子绕核做匀速圆周运动的轨道半径量子化公式(n=1,2,3…)其中是电子基态的轨道半径,是量子数为n的电子轨道半径.请你由库仑定律和牛顿运动定律推导:量子数为n时电子的动能,环绕周期.式中分别是电子处于基态时,电子的动能和环绕周期.

答案:
解析:

  电子绕原子核做匀速圆周运动所需的向心力由电子与原子核之间的库仑力提供,所以有:

  

  


练习册系列答案
相关题目

违法和不良信息举报电话:027-86699610 举报邮箱:58377363@163.com

精英家教网