题目内容

(10分)在电场方向水平向右的匀强电场中,一带电小球从A点竖直向上抛出,其运动的轨迹如图所示.小球运动的轨迹上A、B两点在同一水平线上,M为轨迹的最高点.小球抛出时的动能为8.0J,在M点的动能为6.0J,不计空气的阻力.求:

 

(1)小球水平位移x1与x2的比值;

(2)小球落到B点时的动能EkB

(3)小球从A点运动到B点的过程中最小动能Ekmin

 

【答案】

(1)  (2)   (3)

【解析】

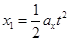
试题分析:(1)小球在水平方向上仅受电场力的作用做初速度为零的匀加速运动,竖直方向上只受重力作用做竖直上抛运动,故从A到M和M到B的时间相等,设从A到M所用时间为t,水平方向加速度为ax

由匀变速直线运动位移-时间公式,可得:

        (1分)

        (1分)

所以          (1分)

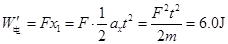
(2)小球从A到M,由动能定理,可得水平方向上电场力做功        (1分)

则小球从A到B,水平方向上电场力做功        (1分)

由动能定理,可得小球落到B点时的动能为:

解得:           (1分)

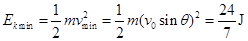
(3)设小球所受的电场力为F,重力为G,由于合运动与分运动具有等时性,小球从A到M,则有:

水平方向上电场力做功           (1分)

竖直方向上重力做功          (1分)

由下图可知,,则         (1分)

则小球从 A运动到B的过程中速度最小时速度一定与等效垂直,即图中的 P点,故:

           (1分)

考点:本题考查了用功和能的观点分析带电粒子在电场中的运动。

 

练习册系列答案
相关题目

违法和不良信息举报电话:027-86699610 举报邮箱:58377363@163.com

精英家教网