题目内容

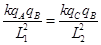
如图,足够大的光滑绝缘水平面上有三个带电质点,A和C围绕B做匀速圆周运动,B恰能保持静止,其中A、C和B的距离分别是,和.不计三质点间的万有引力,则A和C的比荷(电量与质量之比)之比应是

A.     B.              C.  D.

 

【答案】

C

【解析】

试题分析:根据B恰能保持静止可得:;A做匀速圆周运动,根据A受到的合力提供向心力,,C做匀速圆周运动,,联立解得A和C的比荷(电量与质量之比)之比应是,故选C.

考点:库仑定律及牛顿定律。

 

练习册系列答案
相关题目

违法和不良信息举报电话:027-86699610 举报邮箱:58377363@163.com

精英家教网