题目内容
一物体从45m高处自由下落,g=10m/s2,求(1)物体下落时间?
(2)着地时速度多大??
(4)最后一秒内的平均速度是多少?
【答案】分析:(1)根据h=
求出落地的时间.
(2)根据v=gt求出物体落到地面前得瞬时速度.
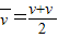
(3)先求出最后一秒的初速度和末速度,根据
即可求解.
解答:解:(1)根据h=
得:
t=
=
(2)根据v=gt,代入数据得,v=30m/s.
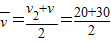
(3)物体2s末的速度v2=gt2=20m/s
所以最后一秒内的平均速度
m/s=25m/s
答:(1)物体下落时间为3s;
(2)着地时速度为30m/s;
(3)最后一秒内的平均速度是25m/s.
点评:解决本题的关键掌握自由落体运动的速度时间公式v=gt和位移时间公式h=
及平均速度公式
,难度不大,属于基础题.
(2)根据v=gt求出物体落到地面前得瞬时速度.
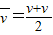
(3)先求出最后一秒的初速度和末速度,根据
解答:解:(1)根据h=
t=
(2)根据v=gt,代入数据得,v=30m/s.
(3)物体2s末的速度v2=gt2=20m/s
所以最后一秒内的平均速度
答:(1)物体下落时间为3s;
(2)着地时速度为30m/s;
(3)最后一秒内的平均速度是25m/s.
点评:解决本题的关键掌握自由落体运动的速度时间公式v=gt和位移时间公式h=
练习册系列答案
相关题目