题目内容
A.
B.
C.
D.NμmgL
【答案】分析:本题考查动量守恒、功能关系及能量守恒定律.
解答:解:
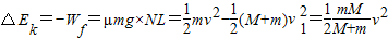
由于箱子M放在光滑的水平面上,则由箱子和小物块组成的整体动量始终是守恒的,直到箱子和小物块的速度相同时,小物块不再相对滑动,有mv=(m+M)v1
系统损失的动能是因为摩擦力做负功

选项BD正确,AC错误.
故选BD.
点评:两个相对运动的物体,当它们的运动速度相等时候,往往是最大距离或者最小距离的临界条件.本题是以两物体多次碰撞为载体,综合考查功能原理,动量守恒定律,要求学生能依据题干和选项暗示,从两个不同角度探求系统动能的损失.又由于本题是陈题翻新,一部分学生易陷入某种思维定势漏选B或者D,另一方面,若不仔细分析,易认为从起点开始到发生第一次碰撞相对路程为
L,则发生N次碰撞,相对路程为
,而错选C.
解答:解:
由于箱子M放在光滑的水平面上,则由箱子和小物块组成的整体动量始终是守恒的,直到箱子和小物块的速度相同时,小物块不再相对滑动,有mv=(m+M)v1
系统损失的动能是因为摩擦力做负功
选项BD正确,AC错误.
故选BD.
点评:两个相对运动的物体,当它们的运动速度相等时候,往往是最大距离或者最小距离的临界条件.本题是以两物体多次碰撞为载体,综合考查功能原理,动量守恒定律,要求学生能依据题干和选项暗示,从两个不同角度探求系统动能的损失.又由于本题是陈题翻新,一部分学生易陷入某种思维定势漏选B或者D,另一方面,若不仔细分析,易认为从起点开始到发生第一次碰撞相对路程为
练习册系列答案
相关题目