ÌâÄ¿ÄÚÈÝ

ÓÃÈçͼ¼×ËùʾµÄ×°ÖÃ×ö¡°²â¶¨ÖØÁ¦¼ÓËÙ¶È¡±ÊµÑ飮ÒÑÖª´òµã¼ÆÊ±Æ÷µÄ´òµãÖÜÆÚΪT£®
¢ÙÍê³ÉÏÂÃæ²¿·ÖʵÑé²½ÖèµÄÏà¹ØÄÚÈÝ£º
A£®°´Í¼Ê¾µÄ×°Öð²×°Æ÷¼þ£®
B£®½«´òµã¼ÆÊ±Æ÷½Óµ½______£¨Ìî¡°Ö±Á÷¡±»ò¡°½»Á÷¡±£©µçÔ´ÉÏ£®
C£®ÏÈ______£¬ÔÙ______£¬ÈÃÖØ´¸ÍÏ×ÅÖ½´ø´Ó¸ß´¦×ÔÓÉÏÂÂ䣮
D£®¡­
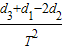
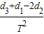
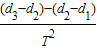
¢ÚͼÊÇʵÑé´ò³öµÄÖ½´ø£¬OÊÇËÙ¶ÈΪÁãµÄµã£¬A¡¢B¡¢CÊÇ´ÓºÏÊÊλÖÃѡȡµÄÈý¸öÁ¬Ðøµã£¨ÆäËûµãδ»­³ö£©£¬ÓÃ______Á¿µÃd1¡¢d2¡¢d3£®ÔòÖØÁ¦¼ÓËÙ¶Èg=______£¬²âµÃµÄÖØÁ¦¼ÓËÙ¶Èg±ÈÕæÊµÖµÏàÆ«Ð¡£¬ÆäÔ­ÒòÊÇ______£®

¡¾´ð°¸¡¿·ÖÎö£º£¨1£©´òµã¼ÆÊ±Æ÷ÓõÄÊǽ»Á÷µçѹ£¬Óôòµã¼ÆÊ±Æ÷×öʵÑéʱ£¬ÊµÑé²½ÖèÒªÇóÏȽÓͨµçÔ´£¬Èôòµã¼ÆÊ±Æ÷Õý³£¹¤×÷ºó£¬ÊÍ·ÅÖ½´ø£»
£¨2£©²âÁ¿³¤¶ÈµÄ¹¤¾ßÊǿ̶ȳߣ¬ÇóÖ½´øÉÏijµãµÄ˲ʱËÙ¶È¿ÉÓÃÓë֮ǰºóÏàÁÚµÄÁ½µã¼äµÄƽ¾ùËÙ¶ÈÀ´´úÌæ£¬Çó¼ÓËÙ¶È¿ÉÒÔÓüÓËٶȵ͍ÒåʽÇó½â£¬Ò²¿ÉÒÔ¸ù¾ÝÇó½â£»ÓÉÓÚʵÑé¹ý³ÌÖÐÖØÎïÊܵ½¿ÕÆø×èÁ¦ºÍÏÞλ¿×ÓëÖ½´ø¼äµÄĦ²Á×èÁ¦µÈ×÷Óã¬ËùÇó¼ÓËٶȵÄֵƫС£®
½â´ð£º½â£º£¨1£©´òµã¼ÆÊ±Æ÷ÓõÄÊǽ»Á÷µçѹ£¬Óôòµã¼ÆÊ±Æ÷×öʵÑéʱ£¬ÊµÑé²½ÖèÒªÇóÏȽÓͨµçÔ´£¬Èôòµã¼ÆÊ±Æ÷Õý³£¹¤×÷ºó£¬ÊÍ·ÅÖ½´ø£»
¹Ê´ð°¸Îª£ºB£®½»Á÷ C£®½Óͨ´òµã¼ÆÊ±Æ÷µÄµçÔ´£» ÊÍ·ÅÖ½´ø
£¨2£©²âÁ¿³¤¶ÈµÄ¹¤¾ßÊǿ̶ȳߣ¬ËùÒÔÓÿ̶ȳßÁ¿µÃd1¡¢d2¡¢d3£® ¸ù¾ÝµÃ£ºg==£»ÓÉÓÚʵÑé¹ý³ÌÖÐÖØÎïÊܵ½¿ÕÆø×èÁ¦ºÍÏÞλ¿×ÓëÖ½´ø¼äµÄĦ²Á×èÁ¦µÈ×÷Óã¬ËùÇó¼ÓËٶȵÄֵƫС£®
¹Ê´ð°¸Îª£º¿Ì¶È³ß¡¢¡¢ÖØÎïÊܵ½¿ÕÆø×èÁ¦ºÍÏÞλ¿×ÓëÖ½´ø¼äµÄĦ²Á×èÁ¦µÈ×÷ÓÃ
µãÆÀ£º±¾ÌâÊÇÀûÓÃ×ÔÓÉÂäÌåÔ˶¯²â¶¨ÖØÁ¦¼ÓËÙ¶È£®×¢Òâ´òµã¼ÆÊ±Æ÷µÄʹÓ÷½·¨£¬ÄÜÊìÁ·¸ù¾ÝÔȱäËÙÖ±ÏßÔ˶¯µÄ¹«Ê½Çó½âËٶȺͼÓËٶȵÈÎïÀíÁ¿£¬ÒªÖªµÀʵÑé¹ý³ÌÖÐÖØÎïÊܵ½¿ÕÆø×èÁ¦ºÍÏÞλ¿×ÓëÖ½´ø¼äµÄĦ²Á×èÁ¦µÈ×÷ÓöÔʵÑé½á¹ûµÄÓ°Ï죮
Á·Ï°²áϵÁдð°¸
Ïà¹ØÌâÄ¿
£¨1£©Ä³Í¬Ñ§ÓÃÈçͼ¼×ËùʾµÄ×°ÖÃ×ö¡°ÎïÌåÖÊÁ¿Ò»¶¨Ê±£¬Ì½¾¿¼ÓËÙ¶ÈÓëÎïÌåÊÜÁ¦µÄ¹ØÏµ¡±ÊµÑ飮
¢ÙÓÃÓα꿨³ß²â³öÕý·½Ì嵿ľaµÄ±ß³¤l£¬ÈçͼÒÒËùʾ£¬Ôòl=
 
cm£»
¾«Ó¢¼Ò½ÌÍø
¢ÚÊ×ÏȲ»¹Ò¹³Â룬ǰºó·´¸´Òƶ¯µæÄ¾£¬Ê¹´òµã¼ÆÊ±Æ÷´ò³öµÄÖ½´øÉϵĵã
 
ʱ£¬Ä¦²ÁÁ¦¾ÍƽºâºÃÁË£®È»ºóϸÉþÈÆ¹ý»¬ÂÖ¹ÒÉϹ³Â룬´ò³öÖ½´ø£¬Çó³öÏàÓ¦µÄ¼ÓËÙ¶È£®¸Ä±ä¹³ÂëÊýÁ¿£¬ÖØ×ö¼¸´Î£®×îºó̽¾¿¼ÓËÙ¶ÈÓëÎïÌåÊÜÀ­Á¦£¨¹³ÂëÖØÁ¦£©µÄ¹ØÏµ£®
¢ÛʵÑéÖй³ÂëÖØÁ¦´óÓÚÉþ×ÓÀ­Á¦£¬¹³ÂëÖØÁ¦Ô½´ó£¬Îó²îÔ½´ó£®ÇëÄãÔÚ²»Ôö¼õʵÑéÆ÷²ÄµÄÌõ¼þÏÂÌá³öÒ»¸ö·½·¨¿Ë·þÉÏÊö²»×㣮
ÄãµÄ·½·¨ÊÇ
 
£®
£¨2£©Ð¡Ã÷Éè¼ÆÁËÈçͼ¼×ËùʾµÄµç·£¬Í¬Ê±²âµç×èR0µÄ×èÖµ¡¢µçÔ´µÄµç¶¯ÊÆE¼°ÄÚ×èr£®
¾«Ó¢¼Ò½ÌÍø
¢ÙÓñʻ­Ïß´úÌæµ¼Ïß°´Í¼¼×µç·ͼ½«Í¼ÒÒʵÑéÁ¬½Óͼ²¹³äÍêÕû£®
¢Ú±ÕºÏµç¼üS£¬Òƶ¯»¬¶¯´¥Í·P£¬ÓÃV1¡¢V2ºÍA²âµÃ²¢¼Ç¼¶à×éÊý¾Ý£®¸ù¾ÝÊý¾ÝÃè³öÈçͼ±ûËùʾµÄM¡¢NÁ½ÌõU-IÖ±Ïߣ¬ÔòÖ±ÏßNÊǸù¾Ýµçѹ±í
 
£¨Ìî¡°V1¡±»ò¡°V2¡±£©ºÍµçÁ÷±íAµÄÊý¾Ý»­µÃµÄ£®
¢Û¸ù¾ÝͼÏó¿ÉÒÔÇóµÃµç×èR0µÄ²âÁ¿×èֵΪ
 
¦¸£¬µçÔ´µç¶¯ÊÆEµÄ²âÁ¿ÖµÎª
 
V£¬ÄÚµç×èrµÄ²âÁ¿ÖµÎª
 
¦¸£®
¢ÜҪʹʵÑéÖвâÁ¿¶¨Öµµç×èR0µÄÎó²î¾¡¿ÉÄÜС£¬¶ÔµçÁ÷±íAµÄÄÚ×è´óСµÄÒªÇóÊÇ
 
£¨Ñ¡Ìî×Öĸ´úºÅ£©£®
A£®¾¡¿ÉÄÜÑ¡´óÒ»µã           B£®¾¡¿ÉÄÜѡСһµã           C£®ÎÞÒªÇó£®

Î¥·¨ºÍ²»Á¼ÐÅÏ¢¾Ù±¨µç»°£º027-86699610 ¾Ù±¨ÓÊÏ䣺58377363@163.com

¾«Ó¢¼Ò½ÌÍø