题目内容
以初速度v竖直向上抛出一质量为m的小物体.假定物块所受的空气阻力f大小不变.已知重力加速度为g,则物体上升的最大高度和返回到原抛出点的速率分别为( )A.
B.
C.
D.
【答案】分析:竖直向上抛出的小物体,在上升的过程中,受到的阻力向下,在下降的过程中,受到的阻力向上,根据物体的受力情况,分过程求解上升的高度和下降的速度的大小.
解答:解:在上升的过程中,对物体受力分析由牛顿第二定律可得,
mg+f=ma1,
所以上升时的加速度为a1=
,加速度的方向与初速度的方向相反,即竖直向下,
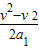
从上升到达最高点的过程中,根据v2-v2=2a1x可得,
上升的最大高度为x=
=
=
,
在下降的时候,对物体受力分析有牛顿第二定律可得,
mg-f=ma2,
所以下降的加速度的大小为a2=
,
从开始下降到返回到原抛出点的过程中,根据v2=2a2x可得,
v=
=
,
所以A正确.
故选A.
点评:在上升和下降的过程中,小球受到的摩擦力的方向是不同的,根据小球的受力,由牛顿第二定律求得加速度的大小,根据运动学的规律求解即可.
解答:解:在上升的过程中,对物体受力分析由牛顿第二定律可得,
mg+f=ma1,
所以上升时的加速度为a1=
从上升到达最高点的过程中,根据v2-v2=2a1x可得,
上升的最大高度为x=
在下降的时候,对物体受力分析有牛顿第二定律可得,
mg-f=ma2,
所以下降的加速度的大小为a2=
从开始下降到返回到原抛出点的过程中,根据v2=2a2x可得,
v=
所以A正确.
故选A.
点评:在上升和下降的过程中,小球受到的摩擦力的方向是不同的,根据小球的受力,由牛顿第二定律求得加速度的大小,根据运动学的规律求解即可.
练习册系列答案
相关题目