题目内容
A.
B.
C.
D.
【答案】分析:物块无初速滑上传送带,有可能一直做匀加速直线运动,有可能先做匀加速直线运动再做匀速直线运动,结合牛顿第二定律和运动学公式求出木块运行的时间.
解答:解:①当木块一直做匀加速直线运动.
若木块一直做匀加速直线运动到达右端时的速度还未达到v.
根据牛顿第二定律得,a=μg.
根据L=
,解得
.
若木块一直做匀加速直线运动到达右端时的速度刚好为v.
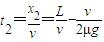
根据L=
解得t=
②当木块先做匀加速直线运动,再做匀速直线运动.
匀加速直线运动的时间
,匀加速直线运动的位移
则匀速直线运动的位移
则匀速直线运动的时间
则总时间为t=
.故B、C、D正确,A错误.
本题选不可能的,故选A.
点评:解决本题的关键理清物块的运动情况,考虑到木块运动的各种可能性,运用牛顿运动定律和运动学公式综合求解.
解答:解:①当木块一直做匀加速直线运动.
若木块一直做匀加速直线运动到达右端时的速度还未达到v.
根据牛顿第二定律得,a=μg.
根据L=
若木块一直做匀加速直线运动到达右端时的速度刚好为v.
根据L=
解得t=
②当木块先做匀加速直线运动,再做匀速直线运动.
匀加速直线运动的时间
则匀速直线运动的位移
则匀速直线运动的时间
则总时间为t=
本题选不可能的,故选A.
点评:解决本题的关键理清物块的运动情况,考虑到木块运动的各种可能性,运用牛顿运动定律和运动学公式综合求解.
练习册系列答案
相关题目
| A、在AC段为水平向左的滑动摩擦力 | B、在AC段为水平向右的滑动摩擦力 | C、在CB段水不受摩擦力 | D、在CB段受水平向右的静摩擦力 |