题目内容
如图是小球做平抛运动的闪光照片的一部分,图中每个小方格的边长都是4mm;则闪光频率是 Hz,小球的初速度是 m/s,小球过C点时的速率是 m/s.(取g=10m/s2)(结果可用根号表示)
【答案】分析:平抛运动在水平方向上做匀速直线运动,在竖直方向上做自由落体运动,根据竖直方向上连续相等时间内的位移之差是一恒量求出相等的时间间隔,从而得知闪光的频率,根据水平方向上的位移和时间求出小球的初速度.根据竖直方向上某段时间内的平均速度等于中间时刻的瞬时速度求出C点竖直方向上的分速度,根据平行四边形定则求出C点的速度.
解答:解:根据△y=gT2,解得T=
,则闪光频率f=
.
小球的初速度
.
小球过C点时竖直方向上的分速度
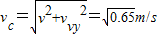
.
则
.
故答案为:50,0.4,
m/s
点评:解决本题的关键掌握平抛运动的处理方法,平抛运动在水平方向上做匀速直线运动,在竖直方向上做自由落体运动.
解答:解:根据△y=gT2,解得T=
小球的初速度
小球过C点时竖直方向上的分速度
则
故答案为:50,0.4,
点评:解决本题的关键掌握平抛运动的处理方法,平抛运动在水平方向上做匀速直线运动,在竖直方向上做自由落体运动.
练习册系列答案
相关题目