题目内容
半径相等的两个小球甲和乙,在光滑的水平面上沿同一直线相向运动.若甲球质量大于乙球质量,碰撞前两球动能相等,则碰撞后两球的运动状态可能是( )A.甲球的速度为零而乙球的速度不为零
B.乙球的速度为零而甲球的速度不为零
C.两球的速度均不为零
D.两球的速度方向均与原方向相反,两球的动能仍相等
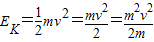
【答案】分析:该题考查动量守恒定律,动能与动量的关系,甲乙两球动能相等,有EK甲=EK乙,设甲球的动量为P甲,乙球动量为P乙,则
,
,因为m甲>m乙,所以 P甲>P乙,又因为两球相向运动,所以P甲与P乙方向相反,碰撞后两球应沿动量大的方向,故两球运动方向与甲球原来的方向相同不为零.所以乙球速度不为零.
解答:解:A、上述分析知EK甲=EK乙,因为
=
,所以
,∵m甲>m乙∴P甲>P乙.甲乙相向运动,故甲乙碰撞后总动量沿甲原来的方向,甲继续沿原来的方向运动,乙必弹回.所以乙的速度不可能为零,故A正确.
B、因为乙必弹回,故速度不为零.B错误
C、因为碰撞后甲乙都沿甲原来的方向运动,故甲乙速度不为零,C正确
D、碰撞后甲乙均沿甲原来的方向运动,都不反向,D错误
故选A、C
点评:该题总体难度适中,只要能找到动能和动量之间的换算关系.就可以顺利解决了
解答:解:A、上述分析知EK甲=EK乙,因为
B、因为乙必弹回,故速度不为零.B错误
C、因为碰撞后甲乙都沿甲原来的方向运动,故甲乙速度不为零,C正确
D、碰撞后甲乙均沿甲原来的方向运动,都不反向,D错误
故选A、C
点评:该题总体难度适中,只要能找到动能和动量之间的换算关系.就可以顺利解决了
练习册系列答案
相关题目
半径相等的两个小球甲和乙,在光滑水平面上沿同一直线相向运动. 若甲球的质量大于乙球的质量,碰掸前两球的动能相等,则碰撞后两球的运动状态可能是( )
| A.甲球的速度为零而乙球的速度不为零 |
| B.乙球的速度为零而甲球的速度不为零 |
| C.两球的速度均不为零 |
| D.两球的速度方向均与原方向相反,两球的动能仍相等 |