题目内容
如图所示,水平桌面上有一轻弹簧,左端固定在A点,自然状态时其右端位于B点.水平桌面右侧有一竖直放置的光滑轨道MNP,其形状为半径R=0.8m的圆环剪去了左上角135°的圆弧,MN为其竖直直径,P点到桌面的竖直距离也是R.用质量m1=0.4kg的物块将弹簧缓慢压缩到C点,释放后弹簧恢复原长时物块恰停止在B点.用同种材料、质量为m2=0.2kg的物块将弹簧缓慢压缩到C点释放,物块过B点后做匀变速运动其位移与时间的关系为s=6t-2t2,物块飞离桌面后由P点沿切线落入圆轨道.g=10m/s2,求:(1)物块m2过B点时的瞬时速度V及与桌面间的滑动摩擦因数.
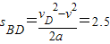
(2)BP间的水平距离
(3)判断m2能否沿圆轨道到达M点(要求计算过程).
(4)释放后m2运动过程中克服摩擦力做的功.
【答案】分析:(1)由物块过B点后其位移与时间的关系求出初速度和加速度,根据牛顿第二定律即可求得与桌面间的滑动摩擦因数.
(2)物块由D点做平抛运动,根据平抛运动的基本公式求出到达D点的速度和水平方向的位移,根据物块过B点后其位移与时间的关系得出初速度和加速度,进而根据位移-速度公式求出位移;
(3)物块在内轨道做圆周运动,在最高点有临界速度,则mg=
,根据机械能守恒定律,求出M点的速度,与临界速度进行比较,判断其能否沿圆轨道到达M点.
(4)由能量转化及守恒定律即可求出m2释放后在桌面上运动的过程中克服摩擦力做的功.
解答:解:(1)由物块过B点后其位移与时间的关系s=6t-2t2得
v=6m/s
加速度a=4m/s2
而μm2g=m2a 得μ=0.4
(2)设物块由D点以vD做平抛,
落到P点时其竖直速度为
根据几何关系有:
解得vD=4m/s
运动时间为:t=
所以DP的水平位移为:4×0.4m=1.6m
根据物块过B点后其位移与时间的关系为x=6t-2t2,有:
在桌面上过B点后初速v=6m/s,加速度a=-4m/s2
所以BD间位移为
m
所以BP间位移为2.5+1.6m=4.1m
(2)设物块到达M点的临界速度为vm,有:

vM=
=
m/s
由机械能守恒定律得:
=
解得:
v′M=
m/s
因为
<
所以物块不能到达M点.
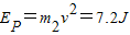
(3)设弹簧长为AC时的弹性势能为EP,物块与桌面间的动摩擦因数为μ,
释放m1时,EP=μm1gsCB
释放m2时
且m1=2m2,
可得:
m2释放后在桌面上运动过程中克服摩擦力做功为Wf,
则由能量转化及守恒定律得:
可得Wf=5.6J
答:(1)物块m2过B点时的瞬时速度为6m/s,与桌面间的滑动摩擦因数为0.4.
(2)BP间的水平距离为4.1m;
(3)m2不能否沿圆轨道到达M点;
(4)m2释放后在桌面上运动的过程中克服摩擦力做的功为5.6J.
点评:该题涉及到多个运动过程,主要考查了机械能守恒定律、平抛运动基本公式、圆周运动向心力公式的应用,用到的知识点及公式较多,难度较大,属于难题.
(2)物块由D点做平抛运动,根据平抛运动的基本公式求出到达D点的速度和水平方向的位移,根据物块过B点后其位移与时间的关系得出初速度和加速度,进而根据位移-速度公式求出位移;
(3)物块在内轨道做圆周运动,在最高点有临界速度,则mg=
(4)由能量转化及守恒定律即可求出m2释放后在桌面上运动的过程中克服摩擦力做的功.
解答:解:(1)由物块过B点后其位移与时间的关系s=6t-2t2得
v=6m/s
加速度a=4m/s2
而μm2g=m2a 得μ=0.4
(2)设物块由D点以vD做平抛,
落到P点时其竖直速度为
根据几何关系有:
解得vD=4m/s
运动时间为:t=
所以DP的水平位移为:4×0.4m=1.6m
根据物块过B点后其位移与时间的关系为x=6t-2t2,有:
在桌面上过B点后初速v=6m/s,加速度a=-4m/s2
所以BD间位移为
所以BP间位移为2.5+1.6m=4.1m
(2)设物块到达M点的临界速度为vm,有:
vM=
由机械能守恒定律得:
解得:
v′M=
因为
所以物块不能到达M点.
(3)设弹簧长为AC时的弹性势能为EP,物块与桌面间的动摩擦因数为μ,
释放m1时,EP=μm1gsCB
释放m2时
且m1=2m2,
可得:
m2释放后在桌面上运动过程中克服摩擦力做功为Wf,
则由能量转化及守恒定律得:
可得Wf=5.6J
答:(1)物块m2过B点时的瞬时速度为6m/s,与桌面间的滑动摩擦因数为0.4.
(2)BP间的水平距离为4.1m;
(3)m2不能否沿圆轨道到达M点;
(4)m2释放后在桌面上运动的过程中克服摩擦力做的功为5.6J.
点评:该题涉及到多个运动过程,主要考查了机械能守恒定律、平抛运动基本公式、圆周运动向心力公式的应用,用到的知识点及公式较多,难度较大,属于难题.
练习册系列答案
相关题目
A、
| ||||
B、
| ||||
| C、mgH-mgh | ||||
D、
|
如图所示,水平桌面上的A点处有一个质量为m的物体以初速度v0被抛出,不计空气阻力,当它到达B点时,其动能的表达式正确的是( ) ![]()
| A. | B. |
| C.mgH-mgh | D. |