题目内容

如图所示,为用磁聚焦法测荷质比装置的一种,在抽空的玻璃管中装有热阴极K和有小孔的阳极A。,在电容器C上加一不大的横向多变电场,调整C和荧光屏S之间的均匀磁场B,使电子流的焦点刚好落在荧光屏S上,此时(为简便计,假定这是电子流从C出来后的第一次聚焦且C长度认为很短)。试用△U,,l(见图)表示电子的比荷

答案:
解析:

答案:

分析:因为C上所加电场很小,故可认为C不影响电子的水平速率。(CO方向)电子进入磁场后一面沿CO做匀速直线运动,一面在垂直磁场的面内做匀速圆周运动。因为周期相同,故会在做完一个螺纹运动时聚焦。

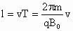
……………………………… ①

………………………………… ②

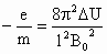
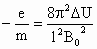
联立①②解得


练习册系列答案
相关题目

违法和不良信息举报电话:027-86699610 举报邮箱:58377363@163.com

精英家教网