题目内容
如图所示为一种加速度仪的示意图。质量为m的振子两端连有劲度系数均为k的轻弹簧,电源的电动势为E,不计内阻,滑动变阻器的总阻值为R,有效长度为L,系统静止时滑动触头位于滑动变阻器正中,这时电压表指针恰好在刻度盘正中。求:
(1)系统的加速度a(以向右为正)和电压表读数U的函数关系式。
(2)将电压表刻度改为加速度刻度后,其刻度是均匀的还是不均匀的?为什么?
(3)若电压表指针指在满刻度的3/4位置,此时系统的加速度大小和方向如何?
(1)系统的加速度a(以向右为正)和电压表读数U的函数关系式。
(2)将电压表刻度改为加速度刻度后,其刻度是均匀的还是不均匀的?为什么?
(3)若电压表指针指在满刻度的3/4位置,此时系统的加速度大小和方向如何?
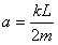
解:(1)当振子向左偏离中间位置x距离时,由牛顿第二定律得
①
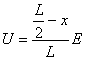
电压表的示数为
②
由以上两式解得
③
(2)均匀,因为加速度a与电压表示数U是一次函数(线性关系)
(3)当滑动触头滑到最右端时,电压表最大示数
,电压表指针指在满刻度的3/4位置时

代入③式解得
,方向向左
电压表的示数为
由以上两式解得
(2)均匀,因为加速度a与电压表示数U是一次函数(线性关系)
(3)当滑动触头滑到最右端时,电压表最大示数
代入③式解得
练习册系列答案
相关题目