题目内容

如图,质量的物体静止于水平地面的A处,A、B间距L=20m。用大小为30N,沿水平方向的外力拉此物体,经拉至B处。(已知。取)

(1)求物体与地面间的动摩擦因数μ;

(2)用大小为30N,与水平方向成37°的力斜向上拉此物体,使物体从A处由静止开始运动并能到达B处,求该力作用的最短时间t。

 

【答案】

(1)0.5  (2)1.03s

【解析】

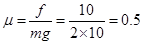
试题分析: (1)物体做匀加速运动     

由牛顿第二定律  

f=μmg  

联立解得:    

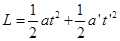
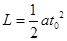
(2)设作用的最短时间为,小车先以大小为的加速度匀加速秒,撤去外力后,以大小为,的加速度匀减速秒到达B处,速度恰为0,由牛顿第二定律得:

    

  

由于匀加速阶段的末速度即为匀减速阶段的初速度,因此有

 

 

 

考点:此题考查牛顿定律及运动公式的应用。

 

练习册系列答案
相关题目

违法和不良信息举报电话:027-86699610 举报邮箱:58377363@163.com

精英家教网