题目内容
汽车刹车后做匀减速直线运动,最后停下来,在刹车过程中,汽车前半程的平均速度与后半程的平均速度之比是( )A.
B.1:
C.2:1
D.1:2
【答案】分析:采取逆向思维,根据匀变速直线运动的推论得初速度为零的匀加速直线运动前半程的末速度和整个过程的末速度,再运用
=
求解
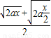
解答:解:设汽车刹车后做匀减速直线运动整个过程位移是x,采取逆向思维,根据匀变速直线运动的推论,得初速度为零的匀加速直线运动前半程的末速度:v=
整个过程的末速度:v′=
;
根据匀变速直线运动的规律
=
得前半程的平均速度:
=
后半程的平均速度
=
所以汽车前半程的平均速度与后半程的平均速度之比(
+1):1
故选A.
点评:解决本题的关键知道平均速度的定义式,以及掌握匀变速直线运动的规律,知道匀变速直线运动的特殊推论.
解答:解:设汽车刹车后做匀减速直线运动整个过程位移是x,采取逆向思维,根据匀变速直线运动的推论,得初速度为零的匀加速直线运动前半程的末速度:v=
整个过程的末速度:v′=
根据匀变速直线运动的规律
后半程的平均速度
所以汽车前半程的平均速度与后半程的平均速度之比(
故选A.
点评:解决本题的关键知道平均速度的定义式,以及掌握匀变速直线运动的规律,知道匀变速直线运动的特殊推论.
练习册系列答案
相关题目