题目内容
如图,在水平的桌面上有一木板长0.5m,一端与桌边对齐,板的上表面与铁块的摩擦因数0.5,桌面与木板下表面的摩擦因数0.25,桌面和铁块的摩擦因数0.25,木板的质量1kg,在木板的中央放一小铁块,质量0.25kg,用水平力F拉木板.求(1)拉力至少多大,铁块会与木板发生相对运动?
(2)拉力至少是多大,铁块不会从桌上落下.
【答案】分析:(1)要想抽出木板,木板的加速度一定要大于铁块的加速度,由此可以求得拉力
(2)拉力越大,铁块与木板间的作用时间越少,相应铁块获得的速度与越小,铁块加速后落到桌面减速,至边缘速度正好为零时,木板受的拉力为最小值.
解答:解:(1)将板抽出时,铁块向右加速,加速度a1=μ1g=5m/s2
由牛顿第二定律,板的加速度:
为了能抽出木板必须有:a1>a2
解得:
F>9.375N
(2)铁块在木板上加速,落到桌面上减速到0
如果刚好到达桌面的边缘,则

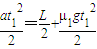
μ1g t1=μ2g t2
解得t12=
板的抽出过程

解得a=20m/s2
由牛顿第二定律:

解得:
F=24.375N
答:
(1)拉力至少为9.375N铁块会与木板发生相对运动
(2)拉力至少是24.375N铁块不会从桌上落下
点评:本题重点是判定什么条件下出现相对运动,铁块不从桌面掉落的临界条件这两点.
(2)拉力越大,铁块与木板间的作用时间越少,相应铁块获得的速度与越小,铁块加速后落到桌面减速,至边缘速度正好为零时,木板受的拉力为最小值.
解答:解:(1)将板抽出时,铁块向右加速,加速度a1=μ1g=5m/s2
由牛顿第二定律,板的加速度:
为了能抽出木板必须有:a1>a2
解得:
F>9.375N
(2)铁块在木板上加速,落到桌面上减速到0
如果刚好到达桌面的边缘,则
μ1g t1=μ2g t2
解得t12=
板的抽出过程
解得a=20m/s2
由牛顿第二定律:
解得:
F=24.375N
答:
(1)拉力至少为9.375N铁块会与木板发生相对运动
(2)拉力至少是24.375N铁块不会从桌上落下
点评:本题重点是判定什么条件下出现相对运动,铁块不从桌面掉落的临界条件这两点.
练习册系列答案
相关题目