题目内容
求:在S1接通,而S2断开和闭合的两种情况下通过R2的电流各为多少?
【答案】分析:在S1接通,而S2断开时,根据闭合电路欧姆定律求出电流I的表达式,再根据A、B间的电功率是4W,求出AB间的电阻值,同理可以求出在S1接通,而S2闭合的情况下,AB间的电阻值,进而求出两种情况下通过R2的电流.
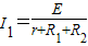
解答:解:在S1接通,而S2断开时,根据闭合电路欧姆定律得:
=
PAB=I2?RAB=
=4W
解得:R2=1Ω或16Ω
在S1接通,而S2闭合时,根据闭合电路欧姆定律得:

PAB=I2?RAB=
=4W
解得:
=1Ω或16Ω
当S2闭合时,
所以
=1Ω,R2=16Ω
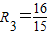
Ω
所以
;
当S2闭合时,
=
通过R3的电流为:
=1.875A
所以通过通过R2的电流为:I2-I3=2-1.875=0.125A
答:两种情况下通过R2的电流分别为0.5A,0.125A
点评:解题该题主要要能画出S2断开和闭合的两种情况的电路图,根据欧姆定律及功率的公式解题,难度适中.
解答:解:在S1接通,而S2断开时,根据闭合电路欧姆定律得:
PAB=I2?RAB=
解得:R2=1Ω或16Ω
在S1接通,而S2闭合时,根据闭合电路欧姆定律得:
PAB=I2?RAB=
解得:
当S2闭合时,
所以
所以
当S2闭合时,
通过R3的电流为:
所以通过通过R2的电流为:I2-I3=2-1.875=0.125A
答:两种情况下通过R2的电流分别为0.5A,0.125A
点评:解题该题主要要能画出S2断开和闭合的两种情况的电路图,根据欧姆定律及功率的公式解题,难度适中.
练习册系列答案
相关题目
| 3 |
| 4 |
| A、电压表的示数始终小于U |
| B、电流表的示数始终大于I |
| C、电压表的示数先增大后减小 |
| D、电流表的示数先减小后增大 |
| A、增大R2 | B、减小R2 | C、减小R1 | D、灯泡L短路 |
| A、电阻R1的功率将减小 | B、电阻R2的功率将增大 | C、电源的功率将加大 | D、电源的效率将增加 |