题目内容
质量为m的质点,从零时刻开始计时,作直线运动的v-t关系图线如图所示,已知v、t1和t2,根据图中可得,此质点在0-t2的时间内的加速度大小为 ,外力对质点所做的总功为 .
【答案】分析:速度时间图象的斜率等于质点的加速度,由数学知识求解加速度.根据数学知识求出t2时刻质点的速度大小,即可根据动能定理求解外力做的总功.
解答:解:根据速度时间图象的斜率等于质点的加速度,则得此质点在0-t2的时间内的加速度大小为a=|
|=|
|=
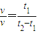
设t2时刻质点的速度大小为v,根据几何知识得:

解得,v=
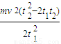
根据动能定理得:W总=
解得,外力对质点所做的总功为W总=
故答案为:
,
点评:本题要抓住速度图象的物理意义:斜率等于质点的加速度,掌握总功与动能变化的关系,由动能定理求解总功.
解答:解:根据速度时间图象的斜率等于质点的加速度,则得此质点在0-t2的时间内的加速度大小为a=|
设t2时刻质点的速度大小为v,根据几何知识得:
解得,v=
根据动能定理得:W总=
解得,外力对质点所做的总功为W总=
故答案为:
点评:本题要抓住速度图象的物理意义:斜率等于质点的加速度,掌握总功与动能变化的关系,由动能定理求解总功.
练习册系列答案
相关题目