题目内容
一物体做匀变速直线运动,某时刻速度大小为2m/s,1s后速度大小变为8m/s,在这1s内物体的( )A.位移大小为5m
B.位移大小可能小于4m
C.加速度大小可能等于6m/s2
D.加速度大小可能大于6m/s2
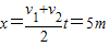
【答案】分析:1s后速度大小变为8m/s,方向可能与初始速度方向相同,也有可能与初始速度方向相反,根据x=
求出位移,根据a=
求出加速度.
解答:解:规定初速度的方向为正方向.
若1s后的速度方向与初始速度方向相同,则加速度a=
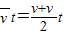
.位移
.
若1s后的速度方向与初始速度方向相反,则加速度a=
.位移
.故B、C、D正确,A错误.
故选BCD.
点评:解决本题的关键注意1s后速度方向有两种可能,可能与初速度方向相同,可能与初速度方向相反.以及掌握匀变速直线运动的公式x=
,a=
,并注意代入数据的正负值.
解答:解:规定初速度的方向为正方向.
若1s后的速度方向与初始速度方向相同,则加速度a=
若1s后的速度方向与初始速度方向相反,则加速度a=
故选BCD.
点评:解决本题的关键注意1s后速度方向有两种可能,可能与初速度方向相同,可能与初速度方向相反.以及掌握匀变速直线运动的公式x=
练习册系列答案
相关题目