题目内容
某同学在探究牛顿第二定律的实验中,在物体所受合外力不变时,改变物体的质量,得到的数据如下表所示:
|
实验次数 |
物体质量m(kg) |
物体的加速度a(m/s2) |
物体质量的倒数1/m(1/kg) |
|
1 |
0.20 |
0.78 |
5.00 |
|
2 |
0.40 |
0.38 |
2.50 |
|
3 |
0.60 |
0.25 |
1.67 |
|
4 |
0.80 |
0.20 |
1.25 |
|
5 |
1.00 |
0.16 |
1.00 |
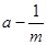
(1)根据表中的数据,在图中所示的坐标中描出相应的实验数据点,并作出a-1/m图象。
![]()
(2)由a-1/m图象,你得出的结论为 。
(3)物体受到的合力大约为 。(结果保留两位有效数字)
(1)图象如图.(2)在物体受合外力不变时,物体的质量越大,它的加速度越小0;在物体受合外力不变时,物体的加速度与质量的倒数成正比,即加速度与质量成反比(3)0.15N
【解析】
试题分析:(1)如图采用描点法作图.先根据表格中每组数据,在坐标轴上描点.再用平滑的曲线将点拟合起来.
![]()
(2)由a-m图象,可知在物体受合外力不变时,物体的质量越大,它的加速度越小;在物体受合外力不变时,物体的加速度与质量的倒数成正比,即加速度与质量成反比.
(3)在
图象取离原点较远的点,读出坐标
,
则合外力F为0.15N
考点:加速度与质量关系
点评:通过本题可以看出,由于a-m图象是曲线不好判断a与m是何种关系,而通过坐标变换,作出
图象,可以直观地分析a与m是什么关系
某同学在探究牛顿第二定律的实验中,在物体所受合外力不变时,改变物体的质量,得到的数据如下表所示。
| 实验次数 | 物体质量m(kg) | 物体的加速度a(m/s2) | 物体质量的倒数1/m(1/kg) |
| 1 | 0.20 | 0.78 | 5.00 |
| 2 | 0.40 | 0.38 | 2.50 |
| 3 | 0.60 | 0.25 | 1.67 |
| 4 | 0.80 | 0.20 | 1.25 |
| 5 | 1.00 | 0.16 | 1.00 |
(1)根据表中的数据,在图中所示的坐标中描出相应的实验数据点,并作出a-1/m图象。
|
(2)由a-1/m图象,你得出的结论为 。
(3)物体受到的合力大约为 。(结果保留两位有效数字)
某同学在探究牛顿第二定律的实验中,在物体所受合外力不变时,改变物体的质量,得到数据如下表所示。
| 实验次数 | 物体质量m(kg) | 物体的加速度a(m/s2) | 物体质量的倒数1/m(1/kg) |
| 1 | 0.20 | 0.78 | 5.00 |
| 2 | 0.40 | 0.38 | 2.50 |
| 3 | 0.60 | 0.25 | 1.67 |
| 4 | 0.80 | 0.20 | 1.25 |
| 5 | 1.00 | 0.16 | 1.00 |
⑴根据表中的数据,在图中所示的坐标中描出相应的实验数据点,并作出a-m图象和a-1/m图象。
(2)由a-m图象,你得出的结论为 ;
由a-1/m图象,你得出的结论为 。
(3)物体受到的合力大约为 。(结果保留两位有效数字)
(10分)某同学在探究牛顿第二定律的实验中,在物体所受合外力不变时,改变物体的质量,得到数据如下表所示。
|
实验次数 |
物体质量m(kg) |
物体的加速度a(m/s2) |
物体质量的倒数1/m(1/kg) |
|
1 |
0.20 |
0.78 |
5.00 |
|
2 |
0.40 |
0.38 |
2.50 |
|
3 |
0.60 |
0.25 |
1.67 |
|
4 |
0.80 |
0.20 |
1.25 |
|
5 |
1.00 |
0.16 |
1.00 |
⑴(2分)根据表中的数据,在图中所示的坐标中描出相应的实验数据点,并作出a-m图象和a-1/m图象。
![]()
(2)(2分)由a-m图象,你得出的结论为 ;
由a-1/m图象,你得出的结论为 。
(3)(2分)物体受到的合力大约为 。(结果保留两位有效数字)
某同学在探究牛顿第二定律的实验中,在物体所受合外力不变时,改变物体的质量,得到数据如下表所示。
|
实验次数 |
物体质量m(kg) |
物体的加速度a(m/s2) |
物体质量的倒数1/m(1/kg) |
|
1 |
0.20 |
0.78 |
5.00 |
|
2 |
0.40 |
0.38 |
2.50 |
|
3 |
0.60 |
0.25 |
1.67 |
|
4 |
0.80 |
0.20 |
1.25 |
|
5 |
1.00 |
0.16 |
1.00 |
⑴根据表中的数据,在图中所示的坐标中描出相应的实验数据点,并作出a-m图象和a-1/m图象。
![]()
![]()
(2)由a-m图象,你得出的结论为 ;
由a-1/m图象,你得出的结论为 。
(3)物体受到的合力大约为 。(结果保留两位有效数字)