题目内容

如图所示,气垫导轨是常用的一种实验仪器,它是利用气泵使带孔的导轨与滑块之间形成气垫,使滑块悬浮在导轨上,滑块在导轨上的运动可视为没有摩擦.在实验室中我们可以用带竖直挡板C和D的气垫导轨和质量均为M的滑块A和B来验证动量守恒定律的实验,如图所示,实验步骤如下:

(1)在A上固定一质量为m的砝码,在A和B间放入一个压缩状态的弹簧,用电动卡销置于气垫导轨上.

(2)按下电钮放开卡销,同时分别记录滑块A、B运动的计时器开始工作,当A、B滑块分别碰撞C、D挡板时计时结束,记下A、B分别达到C、D的运动时间t1、t2

(3)重复几次.

①在调整气垫导轨时应注意________

②还应测量的数据有________

③只要关系式________成立,即可验证该过程动量守恒.

答案:
解析:

  ①调整导轨水平

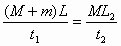
  ②A左端至C板的距离L1,B右端到D板的距离L2

  ③


练习册系列答案
相关题目

违法和不良信息举报电话:027-86699610 举报邮箱:58377363@163.com

精英家教网