题目内容
A.加速氚核的交流电源的周期较大,氚核获得的最大动能也较大
B.加速氚核的交流电源的周期较大,氚核获得的最大动能较小
C.加速氚核的交流电源的周期较小,氚核获得的最大动能也较小
D.加速氚核的交流电源的周期较小,氚核获得的最大动能较大
【答案】分析:回旋加速器是通过电场进行加速,磁场进行偏转来加速带电粒子.带电粒子在磁场中运动的周期与交流电源的周期相同,根据
比较周期.当粒子最后离开回旋加速器时的速度最大,根据
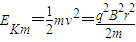
求出粒子的最大速度,从而得出最大动能的大小关系.
解答:解:带电粒子在磁场中运动的周期与交流电源的周期相同,根据
,知氚核(13H)的质量与电量的比值大于α粒子(24He),所以氚核在磁场中运动的周期大,则加速氚核的交流电源的周期较大.
根据
得,最大速度v=
,则最大动能
,氚核的质量是α粒子的
倍,氚核的电量是
倍,则氚核的最大动能是α粒子的
倍,即氚核的最大动能较小.故B正确,A、C、D错误.
故选B.
点评:解决本题的关键知道带电粒子在磁场中运动的周期与交流电源的周期相同,以及会根据
求出粒子的最大速度.
解答:解:带电粒子在磁场中运动的周期与交流电源的周期相同,根据
根据
故选B.
点评:解决本题的关键知道带电粒子在磁场中运动的周期与交流电源的周期相同,以及会根据
练习册系列答案
相关题目
| A、加速同一种带电粒子时,加速电压越大,粒子获得的最大动能越大 | ||||
| B、加速同一种带电粒子时,加速电压的频率越大,粒子获得的最大动能越大 | ||||
| C、加速同一种带电粒子时,D形盒中的磁场越强,粒子获得的最大动能越大 | ||||
D、加速器可以同时加速氚核(
|
| q |
| m |
| A、加速比荷较大的带电粒子所需的交流电源的周期一定较小 |
| B、加速比荷较大的带电粒子所需的交流电源的周期一定较大 |
| C、加速结束后比荷较大的带电粒子获得的最大动能一定较大 |
| D、加速结束后比荷较大的带电粒子获得的最大动能一定较小 |
3 1 |
4 2 |
| A、加速氚核的交流电源的周期较大 |
| B、加速α粒子的交流电源的周期较大 |
| C、加速氚核获得的最大动能也较小 |
| D、加速α粒子获得的最大动能较大 |