题目内容
如图甲所示,足够长的固定光滑细杆与地面成一定倾角,在杆上套有一个光滑小环.现在沿杆方向给小环施加一个拉力F,使小环由静止开始运动.已知拉力F及小环速度v随时间t变化的规律如图乙所示,重力加速度g=10m/s2.求小环的质量.
【答案】分析:由图象可知,其第1秒内,小环匀加速上行,之后改为匀速直线运动,可求滑环匀加速运动的加速度,对环受力分析,受重力、支持力和拉力,根据牛顿第二定律列式分析
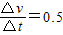
解答:解:第一秒内,速度不断变大,由图象可得:a=
m/s2,
设杆与地面的夹角为α;
第1s内小环做匀加速运动,对小环:F1-mgsinα=ma
1s后小环做匀速直线运动,对小环:F2=mgsinα
解得:m=
=1kg
答:小环的质量为1kg.
点评:本题关键是根据速度-时间图象得到运动规律,然后受力分析,最后根据牛顿第二定律列式求解,注意分析v-t图象的信息
解答:解:第一秒内,速度不断变大,由图象可得:a=
设杆与地面的夹角为α;
第1s内小环做匀加速运动,对小环:F1-mgsinα=ma
1s后小环做匀速直线运动,对小环:F2=mgsinα
解得:m=
答:小环的质量为1kg.
点评:本题关键是根据速度-时间图象得到运动规律,然后受力分析,最后根据牛顿第二定律列式求解,注意分析v-t图象的信息
练习册系列答案
相关题目
| A、小环的质量是l kg | B、细杆与地面间的倾角是30° | C、前4s内小环机械能的增量是12.5J | D、前4s内拉力F的最大功率是4.25W |