题目内容

如图所示,已知E=6V,r=4Ω,R1=2Ω,R2的变化范围是0~10Ω.电源的最大输出功率    W,R1上消耗的最大功率    W.
【答案】分析:根据数学知识分析得知,当外电阻等于电源的内阻时,电源的输出功率最大.对于电阻R1是定值电阻,当电路中电流最大时,其消耗的功率最大,此时,变阻器R2的电阻最小.根据全电路欧姆定律和功率公式求解.
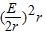
解答:解:根据数学知识分析得知,当外电阻等于电源的内阻,即R1+R2=r时,电源的输出功率最大.电源的最大输出功率为Pm===W=2.25W.
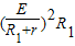
当R2=0时,电流中电流最大,R1消耗的功率最大,R1上消耗的最大功率为P1m===2W
故答案为:2.25,2
点评:关于电路中功率的计算问题,可以纯粹采用数学函数求极值的方法,也可以利用功率与电阻关系的图象分析.
练习册系列答案
相关题目
(2010?盐城三模)本题包括A、B、C三小题,请选定其中的两题,并在相应的答题区域作答.若三题都做,则按A、B两题评分.
A.(1)以下说法正确的是的
BD
BD

A、液体中的扩散现象是由于外界对液体作用引起的.
B、多晶体沿各个方向的物理性质表现为各向同性.
C、分子间距离为平衡距离时,分子间作用力为零,分子势力能最大.
D、温度相同的物体分子平均动能一定相同,而分子无规则运动的平均速率不一定相同.
(2)给旱区人民送水的消防车停在水平地面上,在缓慢放水的过程中,若车胎不漏气,胎内气体温度不变,不计分子间作用力,则胎内
吸收
吸收
热量(填“吸收”或“放出”),单位时间内单位面积的车胎内壁受到气体分子平均撞击次数不清
减少
减少
(填“增加”、“减少”或“不变”).
(3)标准状态下气体的摩尔体积为V0=22.4L/mol,请估算教室内空气分子的平均间距d.设教室内的温度为0℃,阿伏加德罗常数NA=6X1023mol-1,(要写出必要的推算过程,计算结果保留1位有效数字).
B.
(1)北京时间2011年3月11日13时46分,在日本东北部宫城县以东太平洋海域发生里氏9.0级地震,地震造成了重大的人员伤亡,下列说法正确的是
BC
BC

A、震源停止振动时,地震波的传播立即停止.
B、地震波能传播能量.
C、当地震波由海底传播到海水中时地震波的频率不变.
D、地震波与电磁波一样均可以在真空中传播.
(2)图甲所示是一列沿X轴正方向传播的简谐横波在t=0时刻的波形,质点P的振动图象如图乙所示,则这列波的传播速度
2
2
m/s,质点P的振动方程为X=
8sin0.5πt
8sin0.5πt
cm.
(3)如图丙所示,一个截面为直角三角形的玻璃砖放在水平面上,折射率n=
2
.入射光线垂直于AB边从F点射入玻璃砖,经E点折射后到达地面上的P点,已知AE=ED=L,∠ABD=60°,试求光线从F到P所用时间?(光在真空中的速度大小为c).

C.(1)核能作为一种新能源在现代社会中已不可缺少,但安全是核电站面临的非常严峻的问题.核泄漏中的钚(Pu)是一种具有放射性的超铀元素,钚的危险性在于它对人体的毒性,与其他放射性元素相比钚在这方面更强,一旦侵入人体,就会潜伏人体肺部、骨骼等组织细胞中,破坏细胞基因,提高罹患癌症的风险.已知钚的一种同位素94239Pu的半衰期为24100年,其衰变方程为94239Pu→X+24He+γ,下列有关说法正确的是
AD
AD


A、X原子核中含有143个中子.
B、100个94239Pu经过24100年后一定还剩余50个.
C、由于衰变时释放巨大能量,根据E=mC2,衰变过程总质量增加.
D、衰变发出的γ、放射线是波长很短的光子,具有很强的穿透能力.
(2)氢原子弹的光谱在可见光范围内有四条谱线,其中在靛紫色区内的一条是处于量子数n=4的能级氢原子跃迁到n=2的能级发出的,氢原子的能级如图所示,已知普朗克恒量h=6.63×10-34J?s,则该条谱线光子的能量为
2.55
2.55
eV,该条谱线光子的频率为
6.15×1014
6.15×1014
Hz.(结果保留3位有效数字)
(3)已知金属铷的极限频率为5.15×1014Hz,现用波长为5.0×10-7m的一束光照射金属铷,能否使金属铷发生光电效应?若能,请算出逸出光电子的最大初动能.(结果保留2位有效数字)

违法和不良信息举报电话:027-86699610 举报邮箱:58377363@163.com

精英家教网