题目内容
如图,绝热气缸A与导热气缸B均固定于地面,由刚性杆连接的绝热活塞与两气缸间均无摩擦.两气缸内装有处于平衡状态的理想气体,开始时体积均为V、温度均为T.缓慢加热A中气体,停止加热达到稳定后,A中气体压强为原来的1.2倍.设环境温度始终保持不变,求气缸A中气体的体积VA和温度TA.
【答案】分析:因为气缸B导热,所以B中气体始末状态温度相等,为等温变化;另外,因为是刚性杆连接的绝热活塞,所以A、B体积之和不变,即VB=2V-VA,再根据气态方程,本题可解.
解答:解:设初态压强为p,膨胀后A,B压强相等pB=1.2p
B中气体始末状态温度相等pV=1.2p(2V-VA)
∴
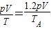
A部分气体满足
∴TA=1.2T
答:气缸A中气体的体积
温度TA=1.2T
点评:本题考查理想气体状态变化规律和关系,找出A、B部分气体状态的联系(即VB=2V-VA)是关键.
解答:解:设初态压强为p,膨胀后A,B压强相等pB=1.2p
B中气体始末状态温度相等pV=1.2p(2V-VA)
∴
A部分气体满足
∴TA=1.2T
答:气缸A中气体的体积
温度TA=1.2T
点评:本题考查理想气体状态变化规律和关系,找出A、B部分气体状态的联系(即VB=2V-VA)是关键.
练习册系列答案
相关题目