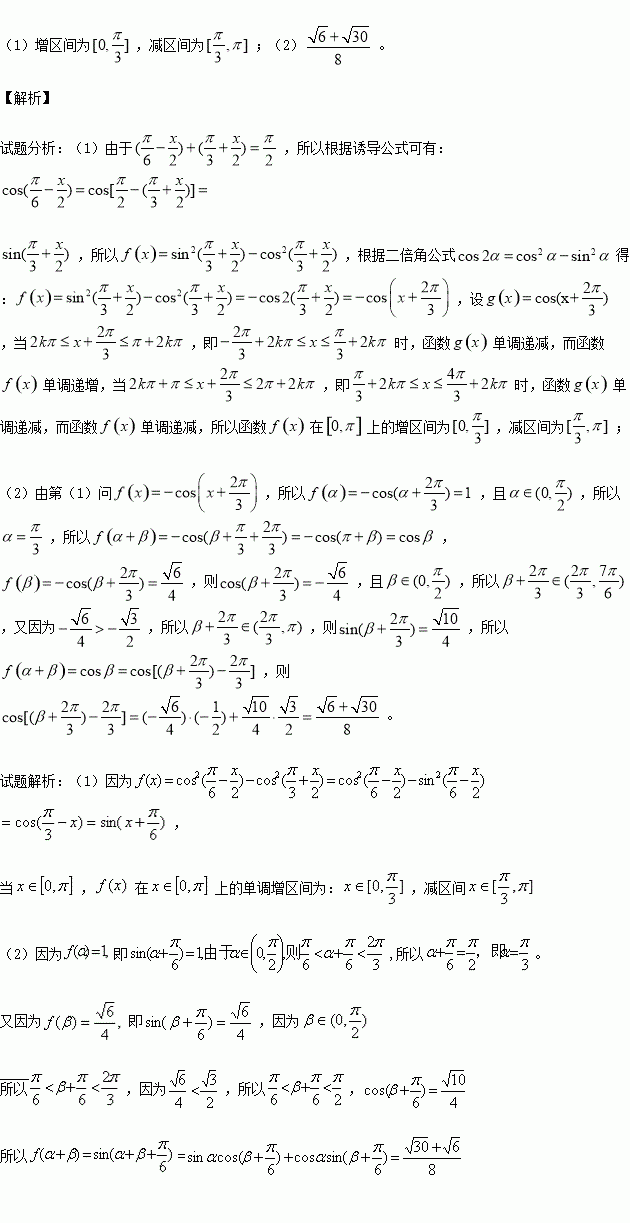
题目内容
已知函数。
(1)求在上的单调区间;
(2)设求的值。
已知函数,其中.
(1)若x=2是函数f(x)的极值点,求在(1,h(1))处的切线方程;
(2)若对任意的(为自然对数的底数)都有成立,求实数的取值范围.
函数的图象是( )
一只蜜蜂在一个棱长为3的正方体内自由飞行,若蜜蜂在飞行过程中始终保持与正方体6个表面的距离均大于1,称其为“安全飞行”,则蜜蜂“安全飞行”的概率为( )
A. B. C. D.
已知集合,那么集合的子集个数为( )
A. 个 B. 个 C.个 D.个
化简的结果是 .
下列命题中错误的是( )
A.如果,那么内一定存在直线平行于平面
B.如果,那么内所有直线都垂直于平面
C.如果平面不垂直平面,那么内一定不存在直线垂直于平面
D.如果,,,那么
已知向量=(sinα,cos2α),=(1﹣2sinα,﹣1),α∈(,),若=﹣,的值为( )
A. B. C. D.
从4名男同学、3名女同学中选3名同学组成一个小组,要求其中男、女同学都有,则共有 种不同的选法.(用数字作答)