题目内容
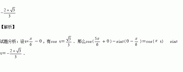
若cos(-θ)=,则cos(+θ)-sin2(θ-)= .
在四棱锥 中,底面,,,是的中点
(1)求证:平面
(2)求证:
已知数列分别满足,且,其中,设数列的前项和分别为.
(1)若数列都为递增数列,求数列的通项公式;
(2)若数列满足:存在唯一的正整数(),使得,称数列为“坠点数列”.①若数列为“5坠点数列”,求;②若数列为“坠点数列”,数列为“坠点数列”,是否存在正整数,使得?若存在,求的最大值;若不存在,说明理由.
抛物线的焦点坐标为 .
已知函数的最小值是-2,其图象经过点.
(1)求的解析式;
(2)已知,且,,求的值.
执行如图所示的流程图,会输出一列数,则这列数中的第3个数是 .
如图所示,直线为圆的切线,切点为,点在圆上,的平分线交圆于点,垂直交圆于点.
(1)证明:;
(2)设圆的半径为,,延长交于点,求线段的长.
已知直线经过圆的圆心,且坐标原点到直线的距离为,则直线的方程为( )
A. B.
C. D.
若随机变量,且,则的值是( )
A. B. C. D.